浙江省科技型企业---加速您的多肽研究
首页 >多肽产品 >Caspase 2 (ICH - 1) Substrate 1m, fluorogenic

多肽产品

194022-52-1,Ac-Val-Asp-Val-Ala-Asp-AMC,Ac-Val-Asp-Val-Ala-Asp-AMC,Ac-VDVAD-AMC,杭州专肽生物的产品

Caspase 2 (ICH - 1) Substrate 1m, fluorogenic

编号:128722

CAS号:194022-52-1

单字母:Ac-VDVAD-AMC

纠错
  • 编号:128722
    中文名称:Caspase 2 (ICH - 1) Substrate 1m, fluorogenic
    英文名:Caspase 2 (ICH - 1) Substrate 1m, fluorogenic
    CAS号:194022-52-1
    单字母:Ac-VDVAD-AMC
    三字母:Ac

    N端乙酰化封端,一种常见的修饰方式,常用于模拟蛋白质中的肽片段。

    -Val

    L-缬氨酸:valine。系统命名为(2S)-氨基-3-甲基丁酸。是编码氨基酸。是哺乳动物的必需氨基酸。符号:V,Val。在某些放线菌素如缬霉素中存在 D-缬氨酸。

    -Asp

    L-天冬氨酸:aspartic acid。系统命名为(2S)-氨基-丁二酸。是编码氨基酸,又是神经递质。符号:D,Asp。D-天冬氨酸存在于多种细菌的细胞壁和短杆菌肽A中。

    -Val

    L-缬氨酸:valine。系统命名为(2S)-氨基-3-甲基丁酸。是编码氨基酸。是哺乳动物的必需氨基酸。符号:V,Val。在某些放线菌素如缬霉素中存在 D-缬氨酸。

    -Ala

    丙氨酸:alanine。L-丙氨酸的系统命名为(2S)-氨基丙酸,是编码氨基酸,也叫L-α-丙氨酸。符号:A,Ala。D-丙氨酸存在于多种细菌细胞壁的糖肽中。β-丙氨酸是维生素泛酸和辅酶A的组分。

    -Asp

    L-天冬氨酸:aspartic acid。系统命名为(2S)-氨基-丁二酸。是编码氨基酸,又是神经递质。符号:D,Asp。D-天冬氨酸存在于多种细菌的细胞壁和短杆菌肽A中。

    -AMC

    7-氨基-4-甲基香豆素(AMC或Amc)是一种荧光染料,其激发波长为350纳米,发射波长为450纳米。

    氨基酸个数:5
    分子式:C33H44O12N6
    平均分子量:716.74
    精确分子量:716.3
    等电点(PI):-
    pH=7.0时的净电荷数:-2
    平均亲水性:0.5
    疏水性值:0.64
    外观与性状:白色粉末状固体
    消光系数:-
    来源:人工化学合成,仅限科学研究使用,不得用于人体。
    纯度:95%、98%
    盐体系:可选TFA、HAc、HCl或其它
    储存条件:负80℃至负20℃
    标签:半胱氨酸蛋白酶(Caspase)    酶底物肽(Substrate Peptide)    AMC修饰肽   

  • Definition

    Caspases are a family of aspartate specific cysteine proteases that play an important role in apoptosis, necrosis and inflammation1.

    Discovery

    Caspases were first identified in the nematode C. elegans. It was found that the gene ced-3 was required for cell death during C.elegans development2. In 1993, the protein encoded by the ced-3 gene was identified as a cysteine protease and it was found that it had similar properties to the mammalian interleukin-1-beta converting enzyme (ICE) (now known as caspase 1) which at the time was the only known caspase3. Other mammalian caspases were subsequently identified.                                                                          

    Classification

    There are three types of apoptotic caspases: initiator, effector and inflammatory caspases. Initiator caspases (e.g. CASP2, CASP8, CASP9 and CASP10) cleave inactive pro-forms of effector caspases, thereby activating them4. Effector caspases (e.g. CASP3, CASP6 and CASP7) in turn cleave other protein substrates within the cell, to trigger the apoptotic process4. Inflammatory caspases are involved in immune response (e.g. CASP1, CASP4, CASP5, CASP11, CASP12 and CASP13). Caspase inhibitors regulate the initiation of this cascade4.

    Structural Characteristics

    Caspases are synthesized as inactive zymogens or procaspases.  Activation of caspases occurs by cleavage of the prodomain in the procaspases5.  The caspase catalytic domain is composed of a twisted, mostly parallel ß-sheet sandwiched between two layers of a-helices. Also they contain an active cysteine residue in their catalytic domain5.  In addition to the catalytic domain, both inflammatory and initiator caspases carry at their N-termini, one or two copies of CARD or DED modules, which are critical for their activation in vivo. These modules are mainly composed of six antiparallel a-helices, with helices a1–a5 building an a-helical Greek key5. The general structure of a caspase inhibitor is [tetrapeptide]-CO-CH2-X, that binds to the Cys285 in the active site of caspases5.

    Mode of action

    Caspases cleave the substrate after an Asp residue6.  There are several hundred substrates for caspases.  Initially activation of initiator caspases occurs as a result of an extrinsic or intrinsic death signal6.  Activated initiator caspases cleave effector caspases that in turn cleave the substrate at an Asp residue6.  For example, caspase-8 cleaves the pro-apoptotic protein Bid that gets activated and translocates into the mitochondria where it activates other pro-apoptotic proteins, Bax and Bak thus amplifying the death signal6.

    Functions

    Caspases such as caspase-1 are involved in the activation of pro-inflammatory cytokines such as Interleukin 1 and interleukin 185,6.  Caspases play an important role in apoptosis. One of the hallmark feature of apoptotic cell death is genomic disassembly and proteolysis5,6.   By cleaving their substartes, caspases inactivate cell cycle progression and DNA repair processes.  They also activate several pro-apoptotic proteins5,6.  In some cases Caspases’ role in aberrant processing events has shown their involvement in neurodegenerative disorders such as Huntington disease and Alzheimer’s disease6.  Some of the final targets of caspases include: nuclear lamins, ICAD/DFF45 (inhibitor of caspase activated DNase or DNA fragmentation factor 45), PARP (poly-ADP ribose polymerase) and PAK2 (P 21-activated kinase 2)6.  Caspases are also implicated in embryonic development and T and B cell differentiation7.

    References

    1.     Book: Cells by Benjamin L, Lynne C, Vishwanath RL, George P (207), 536-540.

    2.     Ellis HM, Horvitz HR (1986). Genetic control of programmed cell death in the nematode C. elegans. Cell, 44(6), 817-29.

    3.     Yuan J, Shaham S, Ledoux S, Ellis HM and Horvitz HR (1993). The C. elegans cell death gene ced-3 encodes a protein similar to mammalian interleukin-1 beta-converting enzyme. Cell 75: 641–652.

    4.        Salvesen GS, Riedl SJ (2008). Caspase mechanisms. Adv Exp Med Biol., 615, 13-23.

    5.     Prior PF and Salvesen GS (2004). The protein structures that shape caspase activity, specificity,activation and inhibition. Biochem. J., 384, 201–232.

    6.     Nicholson DW (1999). Caspase structure, proteolytic substrates, and function during apoptotic cell death. Cell Death and Differentiation, 6, 1028 ± 1042.

    7.     Maelfait J, Beyaert R (2008). Non-apoptotic functions of caspase-8. Biochem Pharmacol., 76(11), 1365-73.

    Caspase酶对应的底物,Caspases(半胱氨酸天冬氨酸蛋白酶,半胱氨酸依赖性天冬氨酸定向蛋白酶)是一类蛋白酶家族,其功能与凋亡(程序性细胞死亡),坏死和发烧(炎症)的过程密切相关。

           什么是胱天蛋白酶?

          胱天蛋白酶(Caspases)是含半胱氨酸的天冬氨酸蛋白水解酶,它们是为细胞凋亡的主要介质。多种受体,例如TNF-α 受体,FasL受体,TLR和死亡受体,以及Bcl-2和凋亡抑制剂(IAP)蛋白家族参与并调节该caspase依赖性凋亡途径。一旦Caspase受到上游信号(外部或内在)刺激被激活,即会参与执行下游蛋白底物的水解作用,并触发一系列事件,导致细胞分解,死亡,吞噬作用和细胞碎片的清除。

          人Caspases酶

          人的Caspases家族基于序列相似性和生物学功能等共性主要可分为三大类:第一类由具有长胱天蛋白酶募集结构域的“炎症”胱天蛋白酶组成,他们对P4位上的较大的芳香族或疏水性残基具有亲和力。第二类由具有短的前体结构域的“细胞凋亡效应”胱天蛋白酶组成,而第三类由具有长的前提结构域的Pap位置具有亮氨酸或缬氨酸底物亲和力的“凋亡引发剂”胱天蛋白酶组成(表1)。

           表1. 人胱天蛋白酶的功能分类:

    细胞死亡途径 半胱天冬酶类型 酵素 物种
    细胞凋亡 启动器 Caspases 2 人与鼠
    细胞凋亡 启动器 Caspases 8 人与鼠
    细胞凋亡 启动器 Caspases 9 人与鼠
    细胞凋亡 启动器 Caspases 10 人的
    细胞凋亡 效应器 Caspases 3 人与鼠
    细胞凋亡 效应器 Caspases 6 人与鼠
    细胞凋亡 效应器 Caspases 6 人与鼠
    细胞焦亡 炎性的 Caspases 1 人与鼠
    细胞焦亡 炎性的 Caspases 4 人的
    细胞焦亡 炎性的 Caspases 5 人的

           启动器Caspase和效应器Caspase酶

          根据其在凋亡胱天蛋白酶途径中的作用,胱天蛋白酶可分为两类:启动器和效应器Caspase酶。启动器和效应器Caspas酶都具有由小亚基和大亚基组成的催化位点,Caspase酶的识别位

          凋亡启动器Caspase酶,例如caspase-2,-8,-9和-10可以启动caspase激活级联反应。Caspase-8对于形成死亡诱导信号复合物(DISC)是必不可少的,并且在激活后,Caspase-8激活下游效应子Caspase(例如Caspase 3)并介导线粒体中细胞色素c的释放。Caspase-8已被证明对IETD肽序列具有相对较高的底物选择性。凋亡效应胱天蛋白酶例如Caspase-3,-6和-7虽然不负责启动级联途径,但是当被激活时,它们在级联的中间和后续步骤中起着不可或缺的作用。Caspase-3(CPP32 / apopain)是关键效应器,因为它放大了来自启动器Caspase的信号,使用对Caspase-3有选择性的DEVD肽序列对活化的Caspase-3进行检测,可以检测Caspase-3的活性。

           Caspase酶底物和抑制剂

          Caspase底物和抑制剂由两个关键成分组成:Caspase识别序列和信号产生或蛋白酶抑制基序。不同Caspase识别序列不同,一般由三个或四个氨基酸组成(表2)。Caspase酶识别序列的N端通常有乙酰基(Ac)或碳苯甲氧基(Z)基团修饰,以增强膜的通透性。对应的Caspase识别特定的肽序列为其酶促反应切割位点,释放产生信号或抑制信号的基序。Caspase的显色和荧光底物均以相似的方式起作用,其中底物的信号或颜色强度与蛋白水解活性成正比。

           表2. Caspase的底物及其序列

    多肽 氨基酸序列 对应的Caspase的种类
    IETD Ile-Glu-Thr-Asp Caspase 8,颗粒酶B
    DEVD Asp-Glu-Val-Asp Caspase 3、6、7、8或10
    LEHD Leu-Glu-His-Asp Caspase 9
    VAD Val-Ala-Asp Caspase 1、2、3、6、8、9或10

             Caspase酶的显色底物

          Caspase的显色底物是有Caspase识别序列及生色基团组成,常见的生色团有pNA(对硝基苯胺或4-硝基苯胺),可使用酶标仪或分光光度计在405 nm处进行光密度检测。

           表3. Caspase的显色底物

    底物 Caspase 吸收(nm) 颜色
    Ac-DEVD-pNA * CAS 189950-66-1 * 半胱天冬酶3 405 nm 黄色
    Z-DEVD-pNA 半胱天冬酶3 405 nm 黄色
    Z-IETD-pNA * CAS 219138-21-3 * 半胱天冬酶8,颗粒酶B 405 nm 黄色

           Caspase的荧光底物

          Caspase的荧光底物的结构包含与半胱天冬酶识别相关的荧光团,例如7-氨基-4-甲基香豆素(AMC),7-氨基-4-三氟甲基香豆素(AFC), Rhodamine 110(R110)或ProRed™620。R110的Caspase底物比基于香豆素的Caspase底物(例如AMC和AFC)更敏感,但由于两步裂解过程,其动态范围更窄。 建议将R110标记的Caspase底物用于终点法测定,而将AMC和AFC标记的 Caspase底物用于动力学测定。

          图.从左到右,分别是AMC(7-氨基-4-甲基香豆素),AFC(7-氨基-4-三氟甲基香豆素),Rhodamine 110(R110)和ProRed™620的激发和发射光谱。

           表4.荧光半胱天冬酶底物。

    底物名称 对应的Caspase Ex(nm) Em(nm) ε¹ Φ²
    Ac-DEVD-AFC * CAS 201608-14-2 * 半胱天冬酶3、7 376 482 17000 0.53
    Ac-DEVD-AMC * CAS 169332-61-0 * 半胱天冬酶3、7 341 441 19000 N / D
    Z-DEVD-AFC 半胱天冬酶3、7 376 482 17000 0.53
    Z-DEVD-AMC * CAS 1135416-11-3 * 半胱天冬酶3、7 341 441 19000 N / D
    Z-DEVD-ProRed™620 半胱天冬酶3、7 532 619 N / D N / D
    (Z-DEVD)2 -R110 * CAS 223538-61-2 * 半胱天冬酶3、7 500 522 80000 N / D
    Z-DEVD-ProRed™620 半胱天冬酶3、7 532 619 N / D N / D
    Ac-IETD-AFC * CAS 211990-57-7 * 半胱天冬酶8,颗粒酶B 376 482 17000 0.53
    Z-IETD-AFC * CAS 219138-02-0 * 半胱天冬酶8,颗粒酶B 376 482 17000 0.53

           注意:

            1.ε=在其最大吸收波长处的摩尔消光系数(单位= cm -1-1)。

          2.Φ=水性缓冲液(pH 7.2)中的荧光量子产率。

           Caspase抑制剂

          Caspase抑制剂能与Caspase的活性位点结合并形成可逆或不可逆的连接,通常,Caspase抑制剂的结构由Caspase识别序列,诸如醛(-CHO)或氟甲基酮(-FMK)的官能团组成。具有醛官能团的胱天蛋白酶抑制剂是可逆的,而具有FMK的抑制剂是不可逆的。半胱天冬酶底物和抑制剂都具有较小的细胞毒性作用,因此,它们是研究半胱天冬酶活性的有用工具。

           表5. 可逆和不可逆的Caspase酶抑制剂

    抑制剂 Caspase的种类 是否可逆 Ex(nm) Em(nm)
    Ac-DEVD-CHO * CAS 169332-60-9 * 半胱天冬酶3、7 可逆的 -- --
    Ac-IETD-CHO * CAS 191338-86-0 * 半胱天冬酶8 可逆的 -- --
    mFluor™450-VAD-FMK 半胱天冬酶1,2,3,6,8,9,10 不可逆的 406 445
    mFluor™510-VAD-FMK 半胱天冬酶1,2,3,6,8,9,10 不可逆的 412 505
    FITC-C6-DEVD-FMK 半胱天冬酶3、7 不可逆的 491 516
    FITC-C6-DEVD-FMK 半胱天冬酶3、7 不可逆的 491 516
    FITC-C6-LEHD-FMK 半胱天冬酶9 不可逆的 491 516
    FITC-C6-LEHD-FMK 半胱天冬酶9 不可逆的 491 516
    FAM-VAD-FMK 半胱天冬酶1,2,3,6,8,9,10 不可逆的 493 517
    SRB-VAD-FMK [磺胺丁胺B-VAD-FMK] 半胱天冬酶1,2,3,6,8,9,10 不可逆的 559 577

     Caspase酶对应的底物,Caspases(半胱氨酸天冬氨酸蛋白酶,半胱氨酸依赖性天冬氨酸定向蛋白酶)是一类蛋白酶家族,其功能与凋亡(程序性细胞死亡),坏死和发烧(炎症)的过程密切相关。

           什么是胱天蛋白酶?

          胱天蛋白酶(Caspases)是含半胱氨酸的天冬氨酸蛋白水解酶,它们是为细胞凋亡的主要介质。多种受体,例如TNF-α 受体,FasL受体,TLR和死亡受体,以及Bcl-2和凋亡抑制剂(IAP)蛋白家族参与并调节该caspase依赖性凋亡途径。一旦Caspase受到上游信号(外部或内在)刺激被激活,即会参与执行下游蛋白底物的水解作用,并触发一系列事件,导致细胞分解,死亡,吞噬作用和细胞碎片的清除。

          人Caspases酶

          人的Caspases家族基于序列相似性和生物学功能等共性主要可分为三大类:第一类由具有长胱天蛋白酶募集结构域的“炎症”胱天蛋白酶组成,他们对P4位上的较大的芳香族或疏水性残基具有亲和力。第二类由具有短的前体结构域的“细胞凋亡效应”胱天蛋白酶组成,而第三类由具有长的前提结构域的Pap位置具有亮氨酸或缬氨酸底物亲和力的“凋亡引发剂”胱天蛋白酶组成(表1)。

           表1. 人胱天蛋白酶的功能分类:

    细胞死亡途径 半胱天冬酶类型 酵素 物种
    细胞凋亡 启动器 Caspases 2 人与鼠
    细胞凋亡 启动器 Caspases 8 人与鼠
    细胞凋亡 启动器 Caspases 9 人与鼠
    细胞凋亡 启动器 Caspases 10 人的
    细胞凋亡 效应器 Caspases 3 人与鼠
    细胞凋亡 效应器 Caspases 6 人与鼠
    细胞凋亡 效应器 Caspases 6 人与鼠
    细胞焦亡 炎性的 Caspases 1 人与鼠
    细胞焦亡 炎性的 Caspases 4 人的
    细胞焦亡 炎性的 Caspases 5 人的

           启动器Caspase和效应器Caspase酶

          根据其在凋亡胱天蛋白酶途径中的作用,胱天蛋白酶可分为两类:启动器和效应器Caspase酶。启动器和效应器Caspas酶都具有由小亚基和大亚基组成的催化位点,Caspase酶的识别位

          凋亡启动器Caspase酶,例如caspase-2,-8,-9和-10可以启动caspase激活级联反应。Caspase-8对于形成死亡诱导信号复合物(DISC)是必不可少的,并且在激活后,Caspase-8激活下游效应子Caspase(例如Caspase 3)并介导线粒体中细胞色素c的释放。Caspase-8已被证明对IETD肽序列具有相对较高的底物选择性。凋亡效应胱天蛋白酶例如Caspase-3,-6和-7虽然不负责启动级联途径,但是当被激活时,它们在级联的中间和后续步骤中起着不可或缺的作用。Caspase-3(CPP32 / apopain)是关键效应器,因为它放大了来自启动器Caspase的信号,使用对Caspase-3有选择性的DEVD肽序列对活化的Caspase-3进行检测,可以检测Caspase-3的活性。

           Caspase酶底物和抑制剂

          Caspase底物和抑制剂由两个关键成分组成:Caspase识别序列和信号产生或蛋白酶抑制基序。不同Caspase识别序列不同,一般由三个或四个氨基酸组成(表2)。Caspase酶识别序列的N端通常有乙酰基(Ac)或碳苯甲氧基(Z)基团修饰,以增强膜的通透性。对应的Caspase识别特定的肽序列为其酶促反应切割位点,释放产生信号或抑制信号的基序。Caspase的显色和荧光底物均以相似的方式起作用,其中底物的信号或颜色强度与蛋白水解活性成正比。

           表2. Caspase的底物及其序列

    多肽 氨基酸序列 对应的Caspase的种类
    IETD Ile-Glu-Thr-Asp Caspase 8,颗粒酶B
    DEVD Asp-Glu-Val-Asp Caspase 3、6、7、8或10
    LEHD Leu-Glu-His-Asp Caspase 9
    VAD Val-Ala-Asp Caspase 1、2、3、6、8、9或10

             Caspase酶的显色底物

          Caspase的显色底物是有Caspase识别序列及生色基团组成,常见的生色团有pNA(对硝基苯胺或4-硝基苯胺),可使用酶标仪或分光光度计在405 nm处进行光密度检测。

           表3. Caspase的显色底物

    底物 Caspase 吸收(nm) 颜色
    Ac-DEVD-pNA * CAS 189950-66-1 * 半胱天冬酶3 405 nm 黄色
    Z-DEVD-pNA 半胱天冬酶3 405 nm 黄色
    Z-IETD-pNA * CAS 219138-21-3 * 半胱天冬酶8,颗粒酶B 405 nm 黄色

           Caspase的荧光底物

          Caspase的荧光底物的结构包含与半胱天冬酶识别相关的荧光团,例如7-氨基-4-甲基香豆素(AMC),7-氨基-4-三氟甲基香豆素(AFC), Rhodamine 110(R110)或ProRed™620。R110的Caspase底物比基于香豆素的Caspase底物(例如AMC和AFC)更敏感,但由于两步裂解过程,其动态范围更窄。 建议将R110标记的Caspase底物用于终点法测定,而将AMC和AFC标记的 Caspase底物用于动力学测定。

          图.从左到右,分别是AMC(7-氨基-4-甲基香豆素),AFC(7-氨基-4-三氟甲基香豆素),Rhodamine 110(R110)和ProRed™620的激发和发射光谱。

           表4.荧光半胱天冬酶底物。

    底物名称 对应的Caspase Ex(nm) Em(nm) ε¹ Φ²
    Ac-DEVD-AFC * CAS 201608-14-2 * 半胱天冬酶3、7 376 482 17000 0.53
    Ac-DEVD-AMC * CAS 169332-61-0 * 半胱天冬酶3、7 341 441 19000 N / D
    Z-DEVD-AFC 半胱天冬酶3、7 376 482 17000 0.53
    Z-DEVD-AMC * CAS 1135416-11-3 * 半胱天冬酶3、7 341 441 19000 N / D
    Z-DEVD-ProRed™620 半胱天冬酶3、7 532 619 N / D N / D
    (Z-DEVD)2 -R110 * CAS 223538-61-2 * 半胱天冬酶3、7 500 522 80000 N / D
    Z-DEVD-ProRed™620 半胱天冬酶3、7 532 619 N / D N / D
    Ac-IETD-AFC * CAS 211990-57-7 * 半胱天冬酶8,颗粒酶B 376 482 17000 0.53
    Z-IETD-AFC * CAS 219138-02-0 * 半胱天冬酶8,颗粒酶B 376 482 17000 0.53

           注意:

            1.ε=在其最大吸收波长处的摩尔消光系数(单位= cm -1-1)。

          2.Φ=水性缓冲液(pH 7.2)中的荧光量子产率。

           Caspase抑制剂

          Caspase抑制剂能与Caspase的活性位点结合并形成可逆或不可逆的连接,通常,Caspase抑制剂的结构由Caspase识别序列,诸如醛(-CHO)或氟甲基酮(-FMK)的官能团组成。具有醛官能团的胱天蛋白酶抑制剂是可逆的,而具有FMK的抑制剂是不可逆的。半胱天冬酶底物和抑制剂都具有较小的细胞毒性作用,因此,它们是研究半胱天冬酶活性的有用工具。

           表5. 可逆和不可逆的Caspase酶抑制剂

    抑制剂 Caspase的种类 是否可逆 Ex(nm) Em(nm)
    Ac-DEVD-CHO * CAS 169332-60-9 * 半胱天冬酶3、7 可逆的 -- --
    Ac-IETD-CHO * CAS 191338-86-0 * 半胱天冬酶8 可逆的 -- --
    mFluor™450-VAD-FMK 半胱天冬酶1,2,3,6,8,9,10 不可逆的 406 445
    mFluor™510-VAD-FMK 半胱天冬酶1,2,3,6,8,9,10 不可逆的 412 505
    FITC-C6-DEVD-FMK 半胱天冬酶3、7 不可逆的 491 516
    FITC-C6-DEVD-FMK 半胱天冬酶3、7 不可逆的 491 516
    FITC-C6-LEHD-FMK 半胱天冬酶9 不可逆的 491 516
    FITC-C6-LEHD-FMK 半胱天冬酶9 不可逆的 491 516
    FAM-VAD-FMK 半胱天冬酶1,2,3,6,8,9,10 不可逆的 493 517
    SRB-VAD-FMK [磺胺丁胺B-VAD-FMK] 半胱天冬酶1,2,3,6,8,9,10 不可逆的 559 577

    7-氨基-4-甲基香豆素(AMC或Amc)是一种荧光染料,其激发波长为350纳米,发射波长为450纳米。

    7-Amino-4-methyl-coumaride (AMC or Amc) is fluorophor with an excitation at 350 nm  and emission of 450 nm .

  • 多肽Ac-Val-Asp-Val-Ala-Asp-AMC的合成步骤:

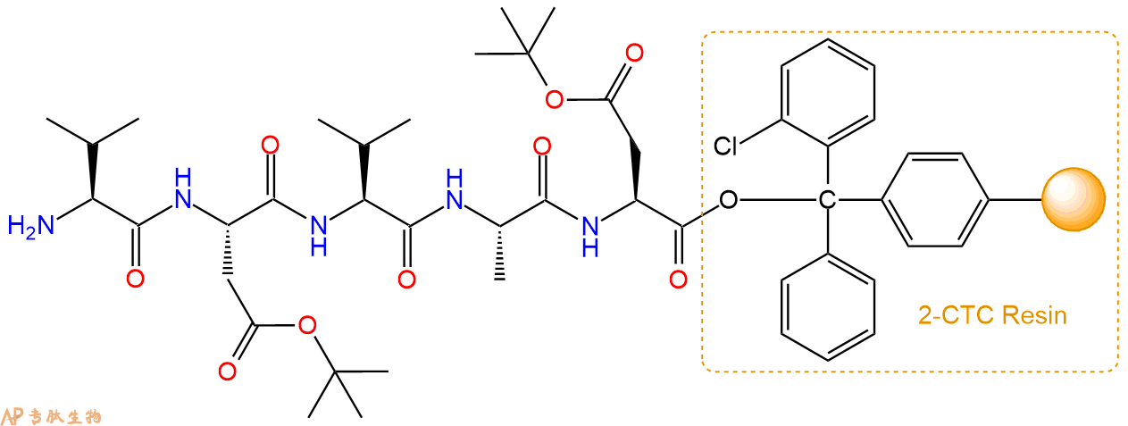
    1、合成CTC树脂:称取0.98g CTC Resin(如初始取代度约为0.58mmol/g)和0.68mmol Fmoc-Asp(OtBu)-OH于反应器中,加入适量DCM溶解氨基酸(需要注意,此时CTC树脂体积会增大好几倍,避免DCM溶液过少),再加入1.71mmol DIPEA(Mw:129.1,d:0.740g/ml),反应2-3小时后,可不抽滤溶液,直接加入1ml的HPLC级甲醇,封端半小时。依次用DMF洗涤2次,甲醇洗涤1次,DCM洗涤一次,甲醇洗涤一次,DCM洗涤一次,DMF洗涤2次(这里使用甲醇和DCM交替洗涤,是为了更好地去除其他溶质,有利于后续反应)。得到  Fmoc-Asp(OtBu)-CTC Resin。结构图如下:

    2、脱Fmoc:加3倍树脂体积的20%Pip/DMF溶液,鼓氮气30分钟,然后2倍树脂体积的DMF 洗涤5次。得到 H2N-Asp(OtBu)-CTC Resin 。(此步骤脱除Fmoc基团,茚三酮检测为蓝色,Pip为哌啶)。结构图如下:

    3、缩合:取1.71mmol Fmoc-Ala-OH 氨基酸,加入到上述树脂里,加适当DMF溶解氨基酸,再依次加入3.41mmol DIPEA,1.62mmol HBTU。反应30分钟后,取小样洗涤,茚三酮检测为无色。用2倍树脂体积的DMF 洗涤3次树脂。(洗涤树脂,去掉残留溶剂,为下一步反应做准备)。得到Fmoc-Ala-Asp(OtBu)-CTC Resin。氨基酸:DIPEA:HBTU:树脂=3:6:2.85:1(摩尔比)。结构图如下:

    4、依次循环步骤二、步骤三,依次得到

    H2N-Ala-Asp(OtBu)-CTC Resin

    Fmoc-Val-Ala-Asp(OtBu)-CTC Resin

    H2N-Val-Ala-Asp(OtBu)-CTC Resin

    Fmoc-Asp(OtBu)-Val-Ala-Asp(OtBu)-CTC Resin

    H2N-Asp(OtBu)-Val-Ala-Asp(OtBu)-CTC Resin

    Fmoc-Val-Asp(OtBu)-Val-Ala-Asp(OtBu)-CTC Resin

    以上中间结构,均可在专肽生物多肽计算器-多肽结构计算器中,一键画出。

    最后再经过步骤二得到 H2N-Val-Asp(OtBu)-Val-Ala-Asp(OtBu)-CTC Resin,结构如下:

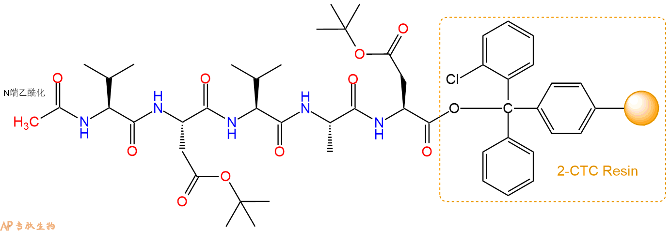
    5、乙酸酐反应连接:在上述树脂中,加入适当DMF后,再加入1.71mmol 乙酸酐到树脂中,再加入3.41mmol DIPEA、1.62mmol HBTU,鼓氮气反应30分钟。用2倍树脂体积的DMF 洗涤3次树脂(洗涤树脂,去掉残留溶剂,为下一步反应做准备)。 得到Ac-Val-Asp(OtBu)-Val-Ala-Asp(OtBu)-CTC Resin。 结构如下:

    6、全保护切割:配置0.5%TFA/DCM溶液,溶液体积约为树脂体积的3倍。再次用DCM洗涤树脂2遍(去除残留DMF),后将配置好的溶液倒入到反应器中,反应30分钟。抽滤树脂,收集滤液(此时多肽已经从树脂上分离,存在于滤液中)。多肽序列为 Ac-Val-Asp(OtBu)-Val-Ala-Asp(OtBu)-CTC Resin。 在滤液中添加DIEPA,调PH至7-8。用饱和NaHCO3洗涤滤液,分离出DCM层溶液。可适当旋蒸DCM层溶液,减少有机溶剂。再次加入1或2倍体积的乙酸乙酯,用稀HCl溶液调PH至微酸性,将多肽从DCM层萃取到乙酸乙酯层。用饱和NaCl洗涤2次乙酸乙酯层。用无水硫酸镁吸收乙酸乙酯层的水分。通过减压旋蒸,直接将乙酸乙酯完全旋蒸掉,得到晶体状固体多肽,用于下一步C端反应。或通过减压旋蒸保留适量乙酸乙酯的溶液体积,加入冰乙醚析出 多肽,然后对多肽进行烘干操作即可用于下一步C端反应。Ac-Val-Asp(OtBu)-Val-Ala-Asp(OtBu)-COOH的结构图如下。

    7、7-氨基-4-甲基香豆素反应连接:在上述树脂中,加入适当DMF后,再加入1.71mmol 7-氨基-4-甲基香豆素到树脂中,再加入3.41mmol DIPEA、1.62mmol HBTU,鼓氮气反应30分钟。用2倍树脂体积的DMF 洗涤3次树脂(洗涤树脂,去掉残留溶剂,为下一步反应做准备)。 得到 Ac-Val-Asp(OtBu)-Val-Ala-Asp(OtBu)-AMC。 结构如下:

    8、切割:6倍树脂体积的切割液(或每1g树脂加8ml左右的切割液),摇床摇晃 2小时,过滤掉树脂,用冰无水乙醚沉淀滤液,并用冰无水乙醚洗涤沉淀物3次,最后将沉淀物放真空干燥釜中,常温干燥24小试,得到粗品Ac-Val-Asp-Val-Ala-Asp-AMC。结构图见产品结构图。

    切割液选择:1)TFA:H2O=95%:5%

    2)TFA:H2O:TIS=95%:2.5%:2.5%

    3)三氟乙酸:茴香硫醚:1,2-乙二硫醇:苯酚:水=87.5%:5%:2.5%:2.5%:2.5%

    (前两种适合没有容易氧化的氨基酸,例如Trp、Cys、Met。第三种适合几乎所有的序列。)

    9、纯化冻干:使用液相色谱纯化,收集目标峰液体,进行冻干,获得蓬松的粉末状固体多肽。不过这时要取小样复测下纯度 是否目标纯度。

    10、最后总结:

    杭州专肽生物技术有限公司(ALLPEPTIDE https://www.allpeptide.com)主营定制多肽合成业务,提供各类长肽,短肽,环肽,提供各类修饰肽,如:荧光标记修饰(CY3、CY5、CY5.5、CY7、FAM、FITC、Rhodamine B、TAMRA等),功能基团修饰肽(叠氮、炔基、DBCO、DOTA、NOTA等),同位素标记肽(N15、C13),订书肽(Stapled Peptide),脂肪酸修饰肽(Pal、Myr、Ste),磷酸化修饰肽(P-Ser、P-Thr、P-Tyr),环肽(酰胺键环肽、一对或者多对二硫键环),生物素标记肽,PEG修饰肽,甲基化修饰肽

    以上所有内容,为专肽生物原创内容,请勿发布到其他网站上。

  • 暂时没有数据