400-998-5282
专注多肽 服务科研

| 编号: | 169528 |
| 中文名称: | 七肽DRVYIH-DAla |
| 英文名: | A-779 |
| CAS号: | 159432-28-7 |
| 单字母: | H2N-DRVYIHa-OH |
| 三字母: | H2N N端氨基:N-terminal amino group。在肽或多肽链中含有游离a-氨基的氨基酸一端。在表示氨基酸序列时,通常将N端放在肽链的左边。 -AspL-天冬氨酸:aspartic acid。系统命名为(2S)-氨基-丁二酸。是编码氨基酸,又是神经递质。符号:D,Asp。D-天冬氨酸存在于多种细菌的细胞壁和短杆菌肽A中。 -ArgL-精氨酸:arginine。系统命名为(2S)-氨基-5-胍基戊酸。在生理条件下带正电荷,为编码氨基酸。是幼小哺乳动物的必需氨基酸。符号:R,Arg。 -ValL-缬氨酸:valine。系统命名为(2S)-氨基-3-甲基丁酸。是编码氨基酸。是哺乳动物的必需氨基酸。符号:V,Val。在某些放线菌素如缬霉素中存在 D-缬氨酸。 -TyrL-酪氨酸:tyrosine。系统命名为(2S)-氨基-3-(4-羟基苯基)丙酸。是编码氨基酸。符号:Y,Tyr。 -IleL-异亮氨酸:isoleucine。系统命名为(2S)-氨基-(3R)-甲基戊酸。是编码氨基酸。有两个手性碳原子,是哺乳动物的必需氨基酸。符号:I,Ile。 -HisL-组氨酸:histidine。系统命名为(2S)-氨基-3-(4-咪唑基)丙酸。其侧链带有弱碱性的咪唑基,为编码氨基酸。是幼小哺乳动物的必需氨基酸。符号:H,His。 -DAlaD型丙氨酸 -OHC端羧基:C-terminal carboxyl group。在肽或多肽链中含有游离羧基的氨基酸一端。在表示氨基酸序列时,通常将C端放在肽链的右边。 |
| 氨基酸个数: | 7 |
| 分子式: | C39H60N12O11 |
| 平均分子量: | 872.97 |
| 精确分子量: | 872.45 |
| 等电点(PI): | 11.31 |
| pH=7.0时的净电荷数: | 2.21 |
| 酸性基团个数: | pH=7.0时的净电荷数:0.10 |
| 碱性基团个数: | 平均亲水性:亲水 |
| 平均亲水性: | -0.24285714285714 |
| 疏水性值: | -0.23 |
| 外观与性状: | 白色粉末状固体 |
| 消光系数: | 1490 |
| 来源: | 人工化学合成,仅限科学研究使用,不得用于人体。 |
| 纯度: | 95%、98% |
| 盐体系: | 可选TFA、HAc、HCl |
| 储存条件: | 负80℃至负20℃ |
| 标签: | D型氨基酸肽 |
A779 是一种有效的选择性血管紧张素 (1-7) 拮抗剂。
A779 is a potent and selective angiotensin (1-7) antagonist.
很多蛋白在细胞中非常容易被降解,或被标记,进而被选择性地破坏。但含有部分D型氨基酸的多肽则显示了很强的抵抗蛋白酶降解能力。
| DOI | 名称 | |
|---|---|---|
| 10.1038/sj.bjp.0705669 | The role of bradykinin, AT2 and angiotensin 1-7 receptors in the EDRF-dependent vasodilator effect of angiotensin II on the isolated mesenteric vascular bed of the rat | 下载 |
| 10.1097/00005344-200405000-00011 | Angiotensin-(1-7) antagonist A-779 attenuates the potentiation of bradykinin by captopril in rats | 下载 |
| 10.1093/carcin/bgh236 | Inhibition of human lung cancer cell growth by angiotensin-(1-7) | 下载 |
| 10.1161/01.HYP.0000141438.64887.42 | Nonpeptide AVE 0991 is an angiotensin-(1-7) receptor Mas agonist in the mouse kidney | 下载 |
| 10.1161/01.HYP.0000174594.17052.33 | Short-term angiotensin(1-7) receptor MAS stimulation improves endothelial function in normotensive rats | 下载 |
| 10.1097/01.fjc.0000175237.41573.63 | The endothelium-dependent vasodilator effect of the nonpeptide Ang(1-7) mimic AVE 0991 is abolished in the aorta of mas-knockout mice | 下载 |
| 10.1152/ajpheart.00937.2006 | Prevention of angiotensin II-induced cardiac remodeling by angiotensin-(1-7) | 下载 |
| 10.1016/j.ejphar.2007.01.037 | Effects of angiotensin 1-7 on the actions of angiotensin II in the renal and mesenteric vasculature of hypertensive and streptozotocin-induced diabetic rats | 下载 |
| 10.1152/ajpheart.00141.2007 | Immunofluorescence localization of the receptor Mas in cardiovascular-related areas of the rat brain | 下载 |
| 10.1161/HYPERTENSIONAHA.106.084848 | Angiotensin-(1-7) counterregulates angiotensin II signaling in human endothelial cells | 下载 |
| 10.1097/HJH.0b013e3282f0143c | Endothelial dysfunction through genetic deletion or inhibition of the G protein-coupled receptor Mas: a new target to improve endothelial function | 下载 |
| 10.1152/ajpregu.00572.2007 | Angiotensin-(1-7) serves as an aquaretic by increasing water intake and diuresis in association with downregulation of aquaporin-1 during pregnancy in rats | 下载 |
| 10.1113/expphysiol.2007.041830 | Interplay of angiotensin II and angiotensin(1-7) in the regulation of matrix metalloproteinases of human cardiocytes | 下载 |
| 10.1152/ajprenal.90437.2008 | Angiotensin-(1-7) activates growth-stimulatory pathways in human mesangial cells | 下载 |
| 10.1093/ndt/gfn736 | Angiotensin-(1-7) activates a tyrosine phosphatase and inhibits glucose-induced signalling in proximal tubular cells | 下载 |
| 10.1164/rccm.200811-1678OC | Evidence for angiotensin-converting enzyme 2 as a therapeutic target for the prevention of pulmonary hypertension | 下载 |
| 10.1371/journal.pone.0005406 | Angiotensin-(1-7) and the g protein-coupled receptor MAS are key players in renal inflammation | 下载 |
| 10.1016/j.peptides.2009.06.028 | Angiotensin-(1-7) antagonist, A-779, microinjection into the caudal ventrolateral medulla of renovascular hypertensive rats restores baroreflex bradycardia | 下载 |
| 10.1161/HYPERTENSIONAHA.109.138420 | Targeting the degradation of angiotensin II with recombinant angiotensin-converting enzyme 2: prevention of angiotensin II-dependent hypertension | 下载 |
| 10.1038/hr.2010.147 | The counterregulating role of ACE2 and ACE2-mediated angiotensin 1-7 signaling against angiotensin II stimulation in vascular cells | 下载 |
| 10.1161/HYPERTENSIONAHA.110.153668 | Angiotensin (1-7) receptor antagonism equalizes angiotensin II-induced hypertension in male and female spontaneously hypertensive rats | 下载 |
| 10.1016/j.regpep.2010.09.005 | Telmisartan attenuates aortic hypertrophy in hypertensive rats by the modulation of ACE2 and profilin-1 expression | 下载 |
| 10.1016/j.lfs.2010.11.001 | Casein-derived tripeptide Ile-Pro-Pro improves angiotensin-(1-7)- and bradykinin-induced rat mesenteric artery relaxation | 下载 |
| 10.1113/jphysiol.2010.203075 | Angiotensin1-9 antagonises pro-hypertrophic signalling in cardiomyocytes via the angiotensin type 2 receptor | 下载 |
| 10.1111/j.1476-5381.2011.01295.x | Chronic treatment with angiotensin-(1-7) improves renal endothelial dysfunction in apolipoproteinE-deficient mice | 下载 |
| 10.1113/expphysiol.2011.058453 | Angiotensin-(1-7) induces ovulation and steroidogenesis in perfused rabbit ovaries | 下载 |
| 10.1152/ajpheart.00202.2011 | Acute and chronic angiotensin-(1-7) restores vasodilation and reduces oxidative stress in mesenteric arteries of salt-fed rats | 下载 |
| 10.1155/2012/958298 | AVE0991, a Nonpeptide Compound, Attenuates Angiotensin II-Induced Vascular Smooth Muscle Cell Proliferation via Induction of Heme Oxygenase-1 and Downregulation of p-38 MAPK Phosphorylation | 下载 |
| 10.1371/journal.pone.0039739 | Angiotensin II-induced mitochondrial Nox4 is a major endogenous source of oxidative stress in kidney tubular cells | 下载 |
| 10.1113/expphysiol.2012.068551 | AVE 0991, a non-peptide Mas-receptor agonist, facilitates penile erection | 下载 |
| 10.1177/1470320312465217 | Antenatal betamethasone exposure alters renal responses to angiotensin-(1-7) in uninephrectomized adult male sheep | 下载 |
| 10.1093/ajh/hps090 | Predominance of AT(1) blockade over mas-mediated angiotensin-(1-7) mechanisms in the regulation of blood pressure and renin-angiotensin system in mRen2.Lewis rats | 下载 |
| 10.1113/jphysiol.2013.251413 | Complete blockade of the vasorelaxant effects of angiotensin-(1-7) and bradykinin in murine microvessels by antagonists of the receptor Mas | 下载 |
| 10.1093/cvr/cvt065 | Angiotensin (1-7) counteracts the negative effect of angiotensin II on insulin signalling in HUVECs | 下载 |
| 10.1113/expphysiol.2013.075242 | Centrally administered angiotensin-(1-7) increases the survival of stroke-prone spontaneously hypertensive rats | 下载 |
| 10.1016/j.peptides.2013.10.022 | Angiotensin 1-7 improves insulin sensitivity by increasing skeletal muscle glucose uptake in vivo | 下载 |
| 10.1371/journal.pone.0085891 | Olmesartan potentiates the anti-angiogenic effect of sorafenib in mice bearing Ehrlich's ascites carcinoma: role of angiotensin (1-7) | 下载 |
| 10.1016/j.cellsig.2014.09.010 | Angiotensin-(1-7) abolishes AGE-induced cellular hypertrophy and myofibroblast transformation via inhibition of ERK1/2 | 下载 |
| 10.1089/ars.2014.6070 | Upregulation of Angiotensin (1-7)-Mediated Signaling Preserves Endothelial Function Through Reducing Oxidative Stress in Diabetes | 下载 |
| 10.1111/bph.13225 | Angiotensin-(1-7) administration benefits cardiac, renal and progenitor cell function in db/db mice | 下载 |
| 10.1371/journal.pone.0142664 | Angiotensin-(1-7) Attenuates Kidney Injury Due to Obstructive Nephropathy in Rats | 下载 |
| 10.1158/1535-7163.MCT-14-0981 | Angiotensin-(1-7) Decreases Cell Growth and Angiogenesis of Human Nasopharyngeal Carcinoma Xenografts | 下载 |
| 10.1038/srep34621 | Angiotensin-(1-7) abrogates angiotensin II-induced proliferation, migration and inflammation in VSMCs through inactivation of ROS-mediated PI3K/Akt and MAPK/ERK signaling pathways | 下载 |
| 10.1155/2016/1361508 | First Report of Eurycoma longifolia Jack Root Extract Causing Relaxation of Aortic Rings in Rats | 下载 |
| 10.1111/bph.13685 | Anti-atherosclerotic effect of the angiotensin 1-7 mimetic AVE0991 is mediated by inhibition of perivascular and plaque inflammation in early atherosclerosis | 下载 |
| 10.1016/0361-9230(94)90104-x | Characterization of a new angiotensin antagonist selective for angiotensin-(1-7): evidence that the actions of angiotensin-(1-7) are mediated by specific angiotensin receptors | 下载 |
| 10.1002/glia.10117 | Multiple angiotensin receptor subtypes in normal and tumor astrocytes in vitro | 下载 |
| 10.1111/j.1460-9568.2005.04188.x | In vivo characterization of the angiotensin-(1-7)-induced dopamine and gamma-aminobutyric acid release in the striatum of the rat | 下载 |
| 10.1038/sj.ki.5001509 | Angiotensin-(1-7) inhibits angiotensin II-stimulated phosphorylation of MAP kinases in proximal tubular cells | 下载 |
| 10.1164/rccm.200912-1840OC | The angiotensin-converting enzyme 2/angiogenesis-(1-7)/Mas axis confers cardiopulmonary protection against lung fibrosis and pulmonary hypertension | 下载 |
| 10.1007/s00592-011-0348-z | Angiotensin-(1-7) suppresses oxidative stress and improves glucose uptake via Mas receptor in adipocytes | 下载 |
| 10.3892/ijmm.2014.1870 | Angiotensin-(1-7) attenuates damage to podocytes induced by preeclamptic serum through MAPK pathways | 下载 |
| 10.1016/j.peptides.2016.09.001 | Bradykinin -induced vasodilatation: Role of age, ACE1-inhibitory peptide, mas- and bradykinin receptors | 下载 |
多肽H2N-Asp-Arg-Val-Tyr-Ile-His-DAla-COOH的合成步骤:
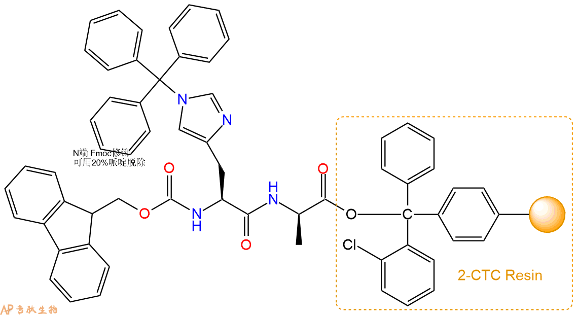
1、合成CTC树脂:称取1.32g CTC Resin(如初始取代度约为0.87mmol/g)和1.38mmol Fmoc-DAla-OH于反应器中,加入适量DCM溶解氨基酸(需要注意,此时CTC树脂体积会增大好几倍,避免DCM溶液过少),再加入3.45mmol DIPEA(Mw:129.1,d:0.740g/ml),反应2-3小时后,可不抽滤溶液,直接加入1ml的HPLC级甲醇,封端半小时。依次用DMF洗涤2次,甲醇洗涤1次,DCM洗涤一次,甲醇洗涤一次,DCM洗涤一次,DMF洗涤2次(这里使用甲醇和DCM交替洗涤,是为了更好地去除其他溶质,有利于后续反应)。得到 Fmoc-DAla-CTC Resin。结构图如下:

2、脱Fmoc:加3倍树脂体积的20%Pip/DMF溶液,鼓氮气30分钟,然后2倍树脂体积的DMF 洗涤5次。得到 H2N-DAla-CTC Resin 。(此步骤脱除Fmoc基团,茚三酮检测为蓝色,Pip为哌啶)。结构图如下:

3、缩合:取3.45mmol Fmoc-His(Trt)-OH 氨基酸,加入到上述树脂里,加适当DMF溶解氨基酸,再依次加入6.89mmol DIPEA,3.27mmol HBTU。反应30分钟后,取小样洗涤,茚三酮检测为无色。用2倍树脂体积的DMF 洗涤3次树脂。(洗涤树脂,去掉残留溶剂,为下一步反应做准备)。得到Fmoc-His(Trt)-DAla-CTC Resin。氨基酸:DIPEA:HBTU:树脂=3:6:2.85:1(摩尔比)。结构图如下:

4、依次循环步骤二、步骤三,依次得到
H2N-His(Trt)-DAla-CTC Resin
Fmoc-Ile-His(Trt)-DAla-CTC Resin
H2N-Ile-His(Trt)-DAla-CTC Resin
Fmoc-Tyr(tBu)-Ile-His(Trt)-DAla-CTC Resin
H2N-Tyr(tBu)-Ile-His(Trt)-DAla-CTC Resin
Fmoc-Val-Tyr(tBu)-Ile-His(Trt)-DAla-CTC Resin
H2N-Val-Tyr(tBu)-Ile-His(Trt)-DAla-CTC Resin
Fmoc-Arg(Pbf)-Val-Tyr(tBu)-Ile-His(Trt)-DAla-CTC Resin
H2N-Arg(Pbf)-Val-Tyr(tBu)-Ile-His(Trt)-DAla-CTC Resin
Fmoc-Asp(OtBu)-Arg(Pbf)-Val-Tyr(tBu)-Ile-His(Trt)-DAla-CTC Resin
以上中间结构,均可在专肽生物多肽计算器-多肽结构计算器中,一键画出。
最后再经过步骤二得到 H2N-Asp(OtBu)-Arg(Pbf)-Val-Tyr(tBu)-Ile-His(Trt)-DAla-CTC Resin,结构如下:

5、切割:6倍树脂体积的切割液(或每1g树脂加8ml左右的切割液),摇床摇晃 2小时,过滤掉树脂,用冰无水乙醚沉淀滤液,并用冰无水乙醚洗涤沉淀物3次,最后将沉淀物放真空干燥釜中,常温干燥24小试,得到粗品H2N-Asp-Arg-Val-Tyr-Ile-His-DAla-COOH。结构图见产品结构图。
切割液选择:1)TFA:H2O=95%:5%、TFA:H2O=97.5%:2.5%
2)TFA:H2O:TIS=95%:2.5%:2.5%
3)三氟乙酸:茴香硫醚:1,2-乙二硫醇:苯酚:水=87.5%:5%:2.5%:2.5%:2.5%
(前两种适合没有容易氧化的氨基酸,例如Trp、Cys、Met。第三种适合几乎所有的序列。)
6、纯化冻干:使用液相色谱纯化,收集目标峰液体,进行冻干,获得蓬松的粉末状固体多肽。不过这时要取小样复测下纯度 是否目标纯度。
7、最后总结:
杭州专肽生物技术有限公司(ALLPEPTIDE https://www.allpeptide.com)主营定制多肽合成业务,提供各类长肽,短肽,环肽,提供各类修饰肽,如:荧光标记修饰(CY3、CY5、CY5.5、CY7、FAM、FITC、Rhodamine B、TAMRA等),功能基团修饰肽(叠氮、炔基、DBCO、DOTA、NOTA等),同位素标记肽(N15、C13),订书肽(Stapled Peptide),脂肪酸修饰肽(Pal、Myr、Ste),磷酸化修饰肽(P-Ser、P-Thr、P-Tyr),环肽(酰胺键环肽、一对或者多对二硫键环),生物素标记肽,PEG修饰肽,甲基化修饰肽
以上所有内容,为专肽生物原创内容,请勿发布到其他网站上。





