浙江省科技型企业---加速您的多肽研究
首页 >多肽产品 >Phe-Gly-His-Phe(NO2)-Phe-Ala-Phe-OMe

多肽产品

50572-79-7,Phe-Gly-His-Phe(NO2)-Phe-Ala-Phe-OMe,H2N-Phe-Gly-His-Phe(4NO2)-Phe-Ala-Phe-OMe,H2N-FGH-F(4NO2)-FAF-OMe,杭州专肽生物的产品

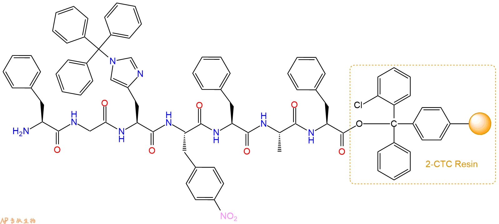
Phe-Gly-His-Phe(NO2)-Phe-Ala-Phe-OMe

胃蛋白酶的良好底物,也被组织蛋白酶 D 切割。

编号:142839

CAS号:50572-79-7

单字母:H2N-FGH-F(4NO2)-FAF-OMe

纠错
  • 编号:142839
    中文名称:Phe-Gly-His-Phe(NO2)-Phe-Ala-Phe-OMe
    CAS号:50572-79-7
    单字母:H2N-FGH-F(4NO2)-FAF-OMe
    三字母:H2N

    N端氨基:N-terminal amino group。在肽或多肽链中含有游离a-氨基的氨基酸一端。在表示氨基酸序列时,通常将N端放在肽链的左边。

    -Phe

    L-苯丙氨酸:phenylalanine。系统命名为(2S)-氨基-3-苯基丙酸。是编码氨基酸。是哺乳动物的必需氨基酸。符号:F,Phe。

    -Gly

    甘氨酸:glycine。系统命名为 2-氨基乙酸。是编码氨基酸中没有旋光性的最简单的氨基酸,因具有甜味而得名。符号:G,Gly。

    -His

    L-组氨酸:histidine。系统命名为(2S)-氨基-3-(4-咪唑基)丙酸。其侧链带有弱碱性的咪唑基,为编码氨基酸。是幼小哺乳动物的必需氨基酸。符号:H,His。

    -Phe(4NO2)

    对硝基苯丙氨酸、para-nitro-phenylalanine

    -Phe

    L-苯丙氨酸:phenylalanine。系统命名为(2S)-氨基-3-苯基丙酸。是编码氨基酸。是哺乳动物的必需氨基酸。符号:F,Phe。

    -Ala

    丙氨酸:alanine。L-丙氨酸的系统命名为(2S)-氨基丙酸,是编码氨基酸,也叫L-α-丙氨酸。符号:A,Ala。D-丙氨酸存在于多种细菌细胞壁的糖肽中。β-丙氨酸是维生素泛酸和辅酶A的组分。

    -Phe

    L-苯丙氨酸:phenylalanine。系统命名为(2S)-氨基-3-苯基丙酸。是编码氨基酸。是哺乳动物的必需氨基酸。符号:F,Phe。

    -OMe

    C端甲酯化修饰,甲酯是最简单的酯类,在溶液合成中作为重要的半永久性C端保护基团。它们可以转化为肽肼,而肽肼是反应性肽叠氮化物的先驱体。叠氮偶联仍是肽溶液合成中片段偶联最常用的方法。

    氨基酸个数:7
    分子式:C48H54N10O10
    平均分子量:931
    精确分子量:930.4
    等电点(PI):-
    pH=7.0时的净电荷数:1.21
    平均亲水性:-1.8333333333333
    疏水性值:1.34
    外观与性状:白色粉末状固体
    消光系数:-
    来源:人工化学合成,仅限科学研究使用,不得用于人体。
    纯度:95%、98%
    盐体系:可选TFA、HAc、HCl或其它
    储存条件:负80℃至负20℃
    标签:侧链保护基肽   

  • A good substrate for pepsin which is also cleaved by cathepsin D.

  • DOI名称
    10.1111/j.1742-4658.2007.06136.xPurification and characterization of pepsins A1 and A2 from the Antarctic rock cod Trematomus bernacchii下载
    10.1073/pnas.68.2.257The comparative specificity of acid proteinases下载
    10.1002/9780470122891.ch1The mechanism of the catalytic action of pepsin and related acid proteinases下载
    10.1021/bi034516hCoupled kinetics of ATP and peptide hydrolysis by Escherichia coli FtsH protease下载
  • 多肽H2N-Phe-Gly-His-Phe(4NO2)-Phe-Ala-Phe-OMe的合成步骤:

    1、合成CTC树脂:称取1.55g CTC Resin(如初始取代度约为0.32mmol/g)和0.6mmol Fmoc-Phe-OH于反应器中,加入适量DCM溶解氨基酸(需要注意,此时CTC树脂体积会增大好几倍,避免DCM溶液过少),再加入1.49mmol DIPEA(Mw:129.1,d:0.740g/ml),反应2-3小时后,可不抽滤溶液,直接加入1ml的HPLC级甲醇,封端半小时。依次用DMF洗涤2次,甲醇洗涤1次,DCM洗涤一次,甲醇洗涤一次,DCM洗涤一次,DMF洗涤2次(这里使用甲醇和DCM交替洗涤,是为了更好地去除其他溶质,有利于后续反应)。得到  Fmoc-Phe-CTC Resin。结构图如下:

    2、脱Fmoc:加3倍树脂体积的20%Pip/DMF溶液,鼓氮气30分钟,然后2倍树脂体积的DMF 洗涤5次。得到 H2N-Phe-CTC Resin 。(此步骤脱除Fmoc基团,茚三酮检测为蓝色,Pip为哌啶)。结构图如下:

    3、缩合:取1.49mmol Fmoc-Ala-OH 氨基酸,加入到上述树脂里,加适当DMF溶解氨基酸,再依次加入2.98mmol DIPEA,1.41mmol HBTU。反应30分钟后,取小样洗涤,茚三酮检测为无色。用2倍树脂体积的DMF 洗涤3次树脂。(洗涤树脂,去掉残留溶剂,为下一步反应做准备)。得到Fmoc-Ala-Phe-CTC Resin。氨基酸:DIPEA:HBTU:树脂=3:6:2.85:1(摩尔比)。结构图如下:

    4、依次循环步骤二、步骤三,依次得到

    H2N-Ala-Phe-CTC Resin

    Fmoc-Phe-Ala-Phe-CTC Resin

    H2N-Phe-Ala-Phe-CTC Resin

    Fmoc-Phe(4NO2)-Phe-Ala-Phe-CTC Resin

    H2N-Phe(4NO2)-Phe-Ala-Phe-CTC Resin

    Fmoc-His(Trt)-Phe(4NO2)-Phe-Ala-Phe-CTC Resin

    H2N-His(Trt)-Phe(4NO2)-Phe-Ala-Phe-CTC Resin

    Fmoc-Gly-His(Trt)-Phe(4NO2)-Phe-Ala-Phe-CTC Resin

    H2N-Gly-His(Trt)-Phe(4NO2)-Phe-Ala-Phe-CTC Resin

    Fmoc-Phe-Gly-His(Trt)-Phe(4NO2)-Phe-Ala-Phe-CTC Resin

    以上中间结构,均可在专肽生物多肽计算器-多肽结构计算器中,一键画出。

    最后再经过步骤二得到 H2N-Phe-Gly-His(Trt)-Phe(4NO2)-Phe-Ala-Phe-CTC Resin,结构如下:

    5、N端临时Boc保护:加适当DMF到树脂中,再依次加入5.95mmol DIPEA,2.98mmol Boc酸酐溶液,鼓氮气反应30分钟。取小样茚三酮检测为无色。Boc酸酐:DIPEA:树脂=6:12:1(摩尔比)。用2倍树脂体积的DMF 洗涤3次树脂(洗涤树脂,去掉残留溶剂,为下一步反应做准备)。 得到 Boc-Phe-Gly-His(Trt)-Phe(4NO2)-Phe-Ala-Phe-CTC Resin。结构如下:

    6、全保护切割:配置0.5%TFA/DCM溶液,溶液体积约为树脂体积的3倍。再次用DCM洗涤树脂2遍(去除残留DMF),后将配置好的溶液倒入到反应器中,反应30分钟。抽滤树脂,收集滤液(此时多肽已经从树脂上分离,存在于滤液中)。多肽序列为 Boc-Phe-Gly-His(Trt)-Phe(4NO2)-Phe-Ala-Phe-CTC Resin。 在滤液中添加DIEPA,调PH至7-8。用饱和NaHCO3洗涤滤液,分离出DCM层溶液。可适当旋蒸DCM层溶液,减少有机溶剂。再次加入1或2倍体积的乙酸乙酯,用稀HCl溶液调PH至微酸性,将多肽从DCM层萃取到乙酸乙酯层。用饱和NaCl洗涤2次乙酸乙酯层。用无水硫酸镁吸收乙酸乙酯层的水分。通过减压旋蒸,直接将乙酸乙酯完全旋蒸掉,得到晶体状固体多肽,用于下一步C端反应。或通过减压旋蒸保留适量乙酸乙酯的溶液体积,加入冰乙醚析出 多肽,然后对多肽进行烘干操作即可用于下一步C端反应。Boc-Phe-Gly-His(Trt)-Phe(4NO2)-Phe-Ala-Phe-COOH的结构图如下。

    7、甲醇反应连接:在上述树脂中,加入适当DMF后,再加入1.49mmol 甲醇到树脂中,再加入2.98mmol DIPEA、1.41mmol HBTU,鼓氮气反应30分钟。用2倍树脂体积的DMF 洗涤3次树脂(洗涤树脂,去掉残留溶剂,为下一步反应做准备)。 得到 Boc-Phe-Gly-His(Trt)-Phe(4NO2)-Phe-Ala-Phe-OMe。 结构如下:

    8、切割:6倍树脂体积的切割液(或每1g树脂加8ml左右的切割液),摇床摇晃 2小时,过滤掉树脂,用冰无水乙醚沉淀滤液,并用冰无水乙醚洗涤沉淀物3次,最后将沉淀物放真空干燥釜中,常温干燥24小试,得到粗品H2N-Phe-Gly-His-Phe(4NO2)-Phe-Ala-Phe-OMe。结构图见产品结构图。

    切割液选择:1)TFA:H2O=95%:5%

    2)TFA:H2O:TIS=95%:2.5%:2.5%

    3)三氟乙酸:茴香硫醚:1,2-乙二硫醇:苯酚:水=87.5%:5%:2.5%:2.5%:2.5%

    (前两种适合没有容易氧化的氨基酸,例如Trp、Cys、Met。第三种适合几乎所有的序列。)

    9、纯化冻干:使用液相色谱纯化,收集目标峰液体,进行冻干,获得蓬松的粉末状固体多肽。不过这时要取小样复测下纯度 是否目标纯度。

    10、最后总结:

    杭州专肽生物技术有限公司(ALLPEPTIDE https://www.allpeptide.com)主营定制多肽合成业务,提供各类长肽,短肽,环肽,提供各类修饰肽,如:荧光标记修饰(CY3、CY5、CY5.5、CY7、FAM、FITC、Rhodamine B、TAMRA等),功能基团修饰肽(叠氮、炔基、DBCO、DOTA、NOTA等),同位素标记肽(N15、C13),订书肽(Stapled Peptide),脂肪酸修饰肽(Pal、Myr、Ste),磷酸化修饰肽(P-Ser、P-Thr、P-Tyr),环肽(酰胺键环肽、一对或者多对二硫键环),生物素标记肽,PEG修饰肽,甲基化修饰肽等。

    以上所有内容,为专肽生物原创内容,请勿发布到其他网站上。

  • 暂时没有数据