浙江省科技型企业---加速您的多肽研究
首页 >多肽产品 >C-Reactive Protein (CRP))(77-82)

多肽产品

130349-01-8,六肽C-Reactive Protein (CRP))(77-82),H2N-Val-Gly-Gly-Ser-Glu-Ile-COOH,H2N-VGGSEI-OH,杭州专肽生物的产品

C-Reactive Protein (CRP))(77-82)

C-反应蛋白的 77-82 片段。C-Reactive Protein 可作为炎症的标记,是心血管风险的标志物,可能促进动脉粥样硬化形成。

编号:128088

CAS号:130349-01-8/2918768-27-9

单字母:H2N-VGGSEI-OH

纠错
  • 编号:128088
    中文名称:C-Reactive Protein (CRP))(77-82)
    英文名:C-Reactive Protein (CRP))(77-82)
    CAS号:130349-01-8,freebase
    2918768-27-9,醋酸盐
    单字母:H2N-VGGSEI-OH
    三字母:H2N

    N端氨基:N-terminal amino group。在肽或多肽链中含有游离a-氨基的氨基酸一端。在表示氨基酸序列时,通常将N端放在肽链的左边。

    -Val

    L-缬氨酸:valine。系统命名为(2S)-氨基-3-甲基丁酸。是编码氨基酸。是哺乳动物的必需氨基酸。符号:V,Val。在某些放线菌素如缬霉素中存在 D-缬氨酸。

    -Gly

    甘氨酸:glycine。系统命名为 2-氨基乙酸。是编码氨基酸中没有旋光性的最简单的氨基酸,因具有甜味而得名。符号:G,Gly。

    -Gly

    甘氨酸:glycine。系统命名为 2-氨基乙酸。是编码氨基酸中没有旋光性的最简单的氨基酸,因具有甜味而得名。符号:G,Gly。

    -Ser

    L-丝氨酸:serine。系统命名为(2S)-氨基-3-羟基丙酸。是编码氨基酸。因可从蚕丝中获得而得名。符号:S,Ser。在丝原蛋白及某些抗菌素中含有 D-丝氨酸。

    -Glu

    L-谷氨酸:glutamic acid。系统命名为(2S)-氨基-戊二酸。是编码氨基酸。符号:E,Glu。D-谷氨酸存在于多种细菌的细胞壁和某些细菌杆菌肽中。

    -Ile

    L-异亮氨酸:isoleucine。系统命名为(2S)-氨基-(3R)-甲基戊酸。是编码氨基酸。有两个手性碳原子,是哺乳动物的必需氨基酸。符号:I,Ile。

    -OH

    C端羧基:C-terminal carboxyl group。在肽或多肽链中含有游离羧基的氨基酸一端。在表示氨基酸序列时,通常将C端放在肽链的右边。

    氨基酸个数:6
    分子式:C23H40N6O10
    平均分子量:560.6
    精确分子量:560.28
    等电点(PI):6.36
    pH=7.0时的净电荷数:-0.02
    平均亲水性:-
    疏水性值:0.6
    外观与性状:白色粉末状固体
    消光系数:-
    来源:人工化学合成,仅限科学研究使用,不得用于人体。
    纯度:95%、98%
    盐体系:可选TFA、HAc、HCl
    储存条件:负80℃至负20℃
    标签:C-反应蛋白(C-Reactive Protein, CRP)   

    参考文献(References):R.M.Heuertz et al., J. Immunol., 156, 3412 (1996)
  • C-Reactive Protein (CRP) 77-82 是 C-反应蛋白的 77-82 片段。C-Reactive Protein 可作为炎症的标记,是心血管风险的标志物,可能促进动脉粥样硬化形成。

    C-Reactive Protein (CRP) 77-82 is the 77-82 fragment of C-Reactive Protein. C-Reactive Protein (CRP), the prototypic marker of inflammation, is a cardiovascular risk marker and may promote atherogenesis.

    该肽会干扰人中性粒细胞中与膜相关的氧化代谢。

    The peptide interferes with the membrane-associated oxidative metabolism in human neutrophils.

    Definition
    C-reactive protein (CRP) is an acute phase protein. It is phylogenetically ancient and - with serum amyloid P - belongs to proteins named as "pentraxin".

    Discovery
    CRP was discovered in Oswald Avery's laboratory during the course of studies of patients with Streptococcus pneumoniae infection. Sera obtained from these patients during the early, acute phase of the illness were found to contain a protein that could precipitate the “C” polysaccharide derived from the pneumococcal cell wall1.

    Structural Characteristics
    CRP belongs to the pentraxin family of calcium-dependent ligand-binding plasma proteins, the other member of which in humans is serum amyloid P component (SAP). The human CRP molecule (Mr 115,135) is composed of five identical nonglycosylated polypeptide subunits (Mr 23,027), each containing 206 amino acid residues. The protomers are noncovalently associated in an annular configuration with cyclic pentameric symmetry. Each protomer has the characteristic "lectin fold," composed of a two-layered ß sheet with flattened jellyroll topology. The ligand-binding site, composed of loops with two calcium ions bound 4 Å apart by protein side-chains, is located on the concave face. The other face carries a single a helix2.

    Mode of Action
    Human CRP binds with highest affinity to phosphocholine residues, but it also binds to a variety of other autologous and extrinsic ligands, and it aggregates or precipitates the cellular, particulate, or molecular structures bearing these ligands. Autologous ligands include native and modified plasma lipoproteins, damaged cell membranes, a number of different phospholipids and related compounds, small nuclear ribonucleoprotein particles, and apoptotic cells. Extrinsic ligands include many glycan, phospholipid, and other constituents of microorganisms, such as capsular and somatic components of bacteria, fungi, and parasites, as well as plant products. When aggregated or bound to macromolecular ligands, human CRP is recognized by C1q and potently activates the classical complement pathway, engaging C3, the main adhesion molecule of the complement system, and the terminal membrane attack complex, C5–C9. Bound CRP may also provide secondary binding sites for factor H and thereby regulate alternative-pathway amplification and C5 convertases3.

    Functions

    CRP, the Metabolic Syndrome, and Risk of Incident Cardiovascular Events: The metabolic syndrome describes a high-risk population having 3 or more of the following clinical characteristics: upper-body obesity, hypertriglyceridemia, low HDL, hypertension, and abnormal glucose. All of these attributes, however, are associated with increased levels of CRP. In a study, the interrelationships between CRP, the metabolic syndrome, and incident cardiovascular events was evaluated among 14,719 apparently healthy women who were followed up for an 8-year period for myocardial infarction, stroke, coronary revascularization, or cardiovascular death; 24% of the cohort had the metabolic syndrome at study entry. It was found that, at baseline, median CRP levels for those with 0, 1, 2, 3, 4, or 5 characteristics of the metabolic syndrome were 0.68, 1.09, 1.93, 3.01, 3.88, and 5.75 mg/L, respectively (Ptrend <0.0001). Over the 8-year follow-up, cardiovascular event-free survival rates based on CRP levels above or below 3.0 mg/L were similar to survival rates based on having 3 or more characteristics of the metabolic syndrome. At all levels of severity of the metabolic syndrome, however, CRP added prognostic information on subsequent risk. Additive effects for CRP were also observed for those with 4 or 5 characteristics of the metabolic syndrome. These prospective data suggest that measurement of CRP adds clinically important prognostic information to the metabolic syndrome4.

    CRP and the pathogenesis of atherosclerosis: The CRP binds to lipids, especially lecithin (phosphatidyl choline), and to plasma lipoproteins, and the first suggestion of a possible relationship to atherosclerosis came when it was demonstrated that aggregated, but not native, non-aggregated, CRP selectively bound just LDL and some VLDL from whole serum. However, native CRP does bind to partially degraded, so-called modified LDL, as it is found in atheromatous plaques, and to oxidized LDL. Furthermore CRP is present in most such plaques examined ex vivo. This CRP could contribute to complement activation and thus inflammation in the plaques, and there is experimental evidence supporting a possible role of complement in atherogenesis. CRP has also been reported to stimulate tissue factor production by peripheral blood monocytes and could thereby have important pro-coagulant effects5.

    Targeting CRP for the treatment of cardiovascular disease: A study, reported the design, synthesis and efficacy of 1,6-bis(phosphocholine)-hexane as a specific small-molecule inhibitor of CRP. Five molecules of palindromic compound are bound by two pentameric CRP molecules, crosslinking and occluding the ligand-binding B-face of CRP and blocking its functions. Administration of 1,6-bis(phosphocholine)-hexane to rats undergoing acute myocardial infarction abrogated the increase in infarct size and cardiac dysfunction produced by injection of human CRP. Therapeutic inhibition of CRP is thus a promising new approach to cardioprotection in acute myocardial infarction. Potential wider applications include other inflammatory, infective and tissue-damaging conditions characterized by increased CRP production, in which binding of CRP to exposed ligands in damaged cells may lead to complement-mediated exacerbation of tissue injury6.

    References

    Tillett WS, Francis Jr T (1930). Serological reactions in pneumonia with a nonprotein somatic fraction of pneumococcus. J Exp Med., 52:561–585.
    Thompson D, Pepys MB, Wood SP (1999). The physiological structure of human C-reactive protein and its complex with phosphocholine. Structure, 7:169-177.
    Pepys MB, Hirschfield GM (2003). C-reactive protein: a critical update. J. Clin Invest., 111(12):1805-1812.
    Ridker PM, Buring JE, Cook NR, Rifai N (2003). C-Reactive Protein, the Metabolic Syndrome, and Risk of Incident Cardiovascular Events (An 8-Year Follow-Up of 14 719 Initially Healthy American Women). Circulation, 107(3):391-397.
    Pepys MB, Hirschfield GM (2003). C-reactive protein and cardiovascular disease: new insights from an old molecule. Q. J. Med., 96:793-807.
    Pepys MB, Hirschfield GM, Tennent GA, Gallimore JR, Kahan MC, Bellotti V, Hawkins PN, Myers RM, Smith MD, Polara A, Cobb AJ, Ley SV, Aquilina JA, Robinson CV, Sharif I, Gray GA, Sabin CA, Jenvey MC, Kolstoe SE, Thompson D, Wood SP (2006). Targeting C-reactive protein for the treatment of cardiovascular disease. Nature, 440(7088):1217-1221.

  • DOI名称
    10.1016/j.atherosclerosis.2008.05.060C-reactive protein stimulates superoxide anion release and tissue factor activity in vivo下载
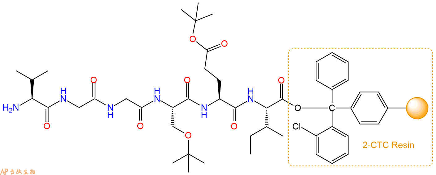
  • 多肽H2N-Val-Gly-Gly-Ser-Glu-Ile-COOH的合成步骤:

    1、合成CTC树脂:称取1.58g CTC Resin(如初始取代度约为0.35mmol/g)和0.66mmol Fmoc-Ile-OH于反应器中,加入适量DCM溶解氨基酸(需要注意,此时CTC树脂体积会增大好几倍,避免DCM溶液过少),再加入1.66mmol DIPEA(Mw:129.1,d:0.740g/ml),反应2-3小时后,可不抽滤溶液,直接加入1ml的HPLC级甲醇,封端半小时。依次用DMF洗涤2次,甲醇洗涤1次,DCM洗涤一次,甲醇洗涤一次,DCM洗涤一次,DMF洗涤2次(这里使用甲醇和DCM交替洗涤,是为了更好地去除其他溶质,有利于后续反应)。得到  Fmoc-Ile-CTC Resin。结构图如下:

    2、脱Fmoc:加3倍树脂体积的20%Pip/DMF溶液,鼓氮气30分钟,然后2倍树脂体积的DMF 洗涤5次。得到 H2N-Ile-CTC Resin 。(此步骤脱除Fmoc基团,茚三酮检测为蓝色,Pip为哌啶)。结构图如下:

    3、缩合:取1.66mmol Fmoc-Glu(OtBu)-OH 氨基酸,加入到上述树脂里,加适当DMF溶解氨基酸,再依次加入3.32mmol DIPEA,1.58mmol HBTU。反应30分钟后,取小样洗涤,茚三酮检测为无色。用2倍树脂体积的DMF 洗涤3次树脂。(洗涤树脂,去掉残留溶剂,为下一步反应做准备)。得到Fmoc-Glu(OtBu)-Ile-CTC Resin。氨基酸:DIPEA:HBTU:树脂=3:6:2.85:1(摩尔比)。结构图如下:

    4、依次循环步骤二、步骤三,依次得到

    H2N-Glu(OtBu)-Ile-CTC Resin

    Fmoc-Ser(tBu)-Glu(OtBu)-Ile-CTC Resin

    H2N-Ser(tBu)-Glu(OtBu)-Ile-CTC Resin

    Fmoc-Gly-Ser(tBu)-Glu(OtBu)-Ile-CTC Resin

    H2N-Gly-Ser(tBu)-Glu(OtBu)-Ile-CTC Resin

    Fmoc-Gly-Gly-Ser(tBu)-Glu(OtBu)-Ile-CTC Resin

    H2N-Gly-Gly-Ser(tBu)-Glu(OtBu)-Ile-CTC Resin

    Fmoc-Val-Gly-Gly-Ser(tBu)-Glu(OtBu)-Ile-CTC Resin

    以上中间结构,均可在专肽生物多肽计算器-多肽结构计算器中,一键画出。

    最后再经过步骤二得到 H2N-Val-Gly-Gly-Ser(tBu)-Glu(OtBu)-Ile-CTC Resin,结构如下:

    5、切割:6倍树脂体积的切割液(或每1g树脂加8ml左右的切割液),摇床摇晃 2小时,过滤掉树脂,用冰无水乙醚沉淀滤液,并用冰无水乙醚洗涤沉淀物3次,最后将沉淀物放真空干燥釜中,常温干燥24小试,得到粗品H2N-Val-Gly-Gly-Ser-Glu-Ile-COOH。结构图见产品结构图。

    切割液选择:1)TFA:H2O=95%:5%、TFA:H2O=97.5%:2.5%

    2)TFA:H2O:TIS=95%:2.5%:2.5%

    3)三氟乙酸:茴香硫醚:1,2-乙二硫醇:苯酚:水=87.5%:5%:2.5%:2.5%:2.5%

    (前两种适合没有容易氧化的氨基酸,例如Trp、Cys、Met。第三种适合几乎所有的序列。)

    6、纯化冻干:使用液相色谱纯化,收集目标峰液体,进行冻干,获得蓬松的粉末状固体多肽。不过这时要取小样复测下纯度 是否目标纯度。

    7、最后总结:

    杭州专肽生物技术有限公司(ALLPEPTIDE https://www.allpeptide.com)主营定制多肽合成业务,提供各类长肽,短肽,环肽,提供各类修饰肽,如:荧光标记修饰(CY3、CY5、CY5.5、CY7、FAM、FITC、Rhodamine B、TAMRA等),功能基团修饰肽(叠氮、炔基、DBCO、DOTA、NOTA等),同位素标记肽(N15、C13),订书肽(Stapled Peptide),脂肪酸修饰肽(Pal、Myr、Ste),磷酸化修饰肽(P-Ser、P-Thr、P-Tyr),环肽(酰胺键环肽、一对或者多对二硫键环),生物素标记肽,PEG修饰肽,甲基化修饰肽

    以上所有内容,为专肽生物原创内容,请勿发布到其他网站上。

  • 暂时没有数据