400-998-5282
专注多肽 服务科研

血浆激肽释放酶和凝血因子XIIa的底物。
编号:150464
CAS号:59068-47-2
单字母:Bz-IEGR-pNA
| 编号: | 150464 |
| 中文名称: | 激肽释放酶(KLK)底物:BZ-Ile-Glu-Gly-Arg-对硝基苯胺 |
| 英文名: | BZ-Ile-Glu-Gly-Arg-pNA |
| CAS号: | 59068-47-2 |
| 单字母: | Bz-IEGR-pNA |
| 三字母: | Benzoyl 苯甲酰基(Bz,C6H5CO-)是醇的芳酰基保护基团,在稀碱性溶液中可通过水解轻易去除。 -IleL-异亮氨酸:isoleucine。系统命名为(2S)-氨基-(3R)-甲基戊酸。是编码氨基酸。有两个手性碳原子,是哺乳动物的必需氨基酸。符号:I,Ile。 -GluL-谷氨酸:glutamic acid。系统命名为(2S)-氨基-戊二酸。是编码氨基酸。符号:E,Glu。D-谷氨酸存在于多种细菌的细胞壁和某些细菌杆菌肽中。 -Gly甘氨酸:glycine。系统命名为 2-氨基乙酸。是编码氨基酸中没有旋光性的最简单的氨基酸,因具有甜味而得名。符号:G,Gly。 -ArgL-精氨酸:arginine。系统命名为(2S)-氨基-5-胍基戊酸。在生理条件下带正电荷,为编码氨基酸。是幼小哺乳动物的必需氨基酸。符号:R,Arg。 -pNA对硝基苯胺 |
| 氨基酸个数: | 4 |
| 分子式: | C32H43O9N9 |
| 平均分子量: | 697.74 |
| 精确分子量: | 697.32 |
| 等电点(PI): | 8.3 |
| pH=7.0时的净电荷数: | - |
| 平均亲水性: | 1.4 |
| 疏水性值: | -0.98 |
| 消光系数: | - |
| 来源: | 人工化学合成,仅限科学研究使用,不得用于人体。 |
| 盐体系: | 可选TFA、HAc、HCl或其它 |
| 储存条件: | 负80℃至负20℃ |
| 标签: | pNA修饰肽 |
Bz-IEGR-pNA, substrate for plasma kallikrein and coagulation factor XIIa.
| DOI | 名称 | |
|---|---|---|
| 10.1016/0049-3848(90)90161-5 | Functional correlation between kallikrein and factor XII activated in human plasma | 下载 |
| 10.1074/jbc.M113.476580 | A novel family of soluble minimal scaffolds provides structural insight into the catalytic domains of integral membrane metallopeptidases | 下载 |
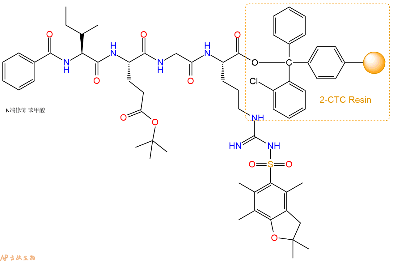
多肽Bzl-Ile-Glu-Gly-Arg-pNA的合成步骤:
1、合成CTC树脂:称取2.54g CTC Resin(如初始取代度约为0.6mmol/g)和1.83mmol Fmoc-Arg(Pbf)-OH于反应器中,加入适量DCM溶解氨基酸(需要注意,此时CTC树脂体积会增大好几倍,避免DCM溶液过少),再加入4.57mmol DIPEA(Mw:129.1,d:0.740g/ml),反应2-3小时后,可不抽滤溶液,直接加入1ml的HPLC级甲醇,封端半小时。依次用DMF洗涤2次,甲醇洗涤1次,DCM洗涤一次,甲醇洗涤一次,DCM洗涤一次,DMF洗涤2次(这里使用甲醇和DCM交替洗涤,是为了更好地去除其他溶质,有利于后续反应)。得到 Fmoc-Arg(Pbf)-CTC Resin。结构图如下:

2、脱Fmoc:加3倍树脂体积的20%Pip/DMF溶液,鼓氮气30分钟,然后2倍树脂体积的DMF 洗涤5次。得到 H2N-Arg(Pbf)-CTC Resin 。(此步骤脱除Fmoc基团,茚三酮检测为蓝色,Pip为哌啶)。结构图如下:

3、缩合:取4.57mmol Fmoc-Gly-OH 氨基酸,加入到上述树脂里,加适当DMF溶解氨基酸,再依次加入9.14mmol DIPEA,4.34mmol HBTU。反应30分钟后,取小样洗涤,茚三酮检测为无色。用2倍树脂体积的DMF 洗涤3次树脂。(洗涤树脂,去掉残留溶剂,为下一步反应做准备)。得到Fmoc-Gly-Arg(Pbf)-CTC Resin。氨基酸:DIPEA:HBTU:树脂=3:6:2.85:1(摩尔比)。结构图如下:

4、依次循环步骤二、步骤三,依次得到
H2N-Gly-Arg(Pbf)-CTC Resin
Fmoc-Glu(OtBu)-Gly-Arg(Pbf)-CTC Resin
H2N-Glu(OtBu)-Gly-Arg(Pbf)-CTC Resin
Fmoc-Ile-Glu(OtBu)-Gly-Arg(Pbf)-CTC Resin
以上中间结构,均可在专肽生物多肽计算器-多肽结构计算器中,一键画出。
最后再经过步骤二得到 H2N-Ile-Glu(OtBu)-Gly-Arg(Pbf)-CTC Resin,结构如下:

5、苯甲酸反应连接:在上述树脂中,加入适当DMF后,再加入4.57mmol苯甲酸到树脂中,再加入9.14mmol DIPEA,鼓氮气反应30分钟。用2倍树脂体积的DMF 洗涤3次树脂(洗涤树脂,去掉残留溶剂,为下一步反应做准备)。 得到Bzl-Ile-Glu(OtBu)-Gly-Arg(Pbf)-CTC Resin。 结构如下:

6、全保护切割:配置0.5%TFA/DCM溶液,溶液体积约为树脂体积的3倍。再次用DCM洗涤树脂2遍(去除残留DMF),后将配置好的溶液倒入到反应器中,反应30分钟。抽滤树脂,收集滤液(此时多肽已经从树脂上分离,存在于滤液中)。多肽序列为 Bzl-Ile-Glu(OtBu)-Gly-Arg(Pbf)-CTC Resin。 在滤液中添加DIEPA,调PH至7-8。用饱和NaHCO3洗涤滤液,分离出DCM层溶液。可适当旋蒸DCM层溶液,减少有机溶剂。再次加入1或2倍体积的乙酸乙酯,用稀HCl溶液调PH至微酸性,将多肽从DCM层萃取到乙酸乙酯层。用饱和NaCl洗涤2次乙酸乙酯层。用无水硫酸镁吸收乙酸乙酯层的水分。通过减压旋蒸,直接将乙酸乙酯完全旋蒸掉,得到晶体状固体多肽,用于下一步C端反应。或通过减压旋蒸保留适量乙酸乙酯的溶液体积,加入冰乙醚析出 多肽,然后对多肽进行烘干操作即可用于下一步C端反应。Bzl-Ile-Glu(OtBu)-Gly-Arg(Pbf)-COOH的结构图如下。

7、4-硝基苯胺反应连接:在上述树脂中,加入适当DMF后,再加入4.57mmol 4-硝基苯胺到树脂中,再加入9.14mmol DIPEA、4.34mmol HBTU,鼓氮气反应30分钟。用2倍树脂体积的DMF 洗涤3次树脂(洗涤树脂,去掉残留溶剂,为下一步反应做准备)。 得到 Bzl-Ile-Glu(OtBu)-Gly-Arg(Pbf)-pNA。 结构如下:

8、切割:6倍树脂体积的切割液(或每1g树脂加8ml左右的切割液),摇床摇晃 2小时,过滤掉树脂,用冰无水乙醚沉淀滤液,并用冰无水乙醚洗涤沉淀物3次,最后将沉淀物放真空干燥釜中,常温干燥24小试,得到粗品Bzl-Ile-Glu-Gly-Arg-pNA。结构图见产品结构图。
切割液选择:1)TFA:H2O=95%:5%
2)TFA:H2O:TIS=95%:2.5%:2.5%
3)三氟乙酸:茴香硫醚:1,2-乙二硫醇:苯酚:水=87.5%:5%:2.5%:2.5%:2.5%
(前两种适合没有容易氧化的氨基酸,例如Trp、Cys、Met。第三种适合几乎所有的序列。)
9、纯化冻干:使用液相色谱纯化,收集目标峰液体,进行冻干,获得蓬松的粉末状固体多肽。不过这时要取小样复测下纯度 是否目标纯度。
10、最后总结:
杭州专肽生物技术有限公司(ALLPEPTIDE https://www.allpeptide.com)主营定制多肽合成业务,提供各类长肽,短肽,环肽,提供各类修饰肽,如:荧光标记修饰(CY3、CY5、CY5.5、CY7、FAM、FITC、Rhodamine B、TAMRA等),功能基团修饰肽(叠氮、炔基、DBCO、DOTA、NOTA等),同位素标记肽(N15、C13),订书肽(Stapled Peptide),脂肪酸修饰肽(Pal、Myr、Ste),磷酸化修饰肽(P-Ser、P-Thr、P-Tyr),环肽(酰胺键环肽、一对或者多对二硫键环),生物素标记肽,PEG修饰肽,甲基化修饰肽等。
以上所有内容,为专肽生物原创内容,请勿发布到其他网站上。





