400-998-5282
专注多肽 服务科研

含有邻氨基苯甲酰基 (Abz) / N-(2,4-二硝基苯基) 乙二胺 (EDDnp) 基团作为供体/受体对的分子内淬灭荧光底物。它对应于由 β-分泌酶 BACE(β 位点 APP 切割活性)靶向的瑞典突变 (JMV2236) β-淀粉样前体蛋白 (βAPP) 序列。这种 FRET 底物被 BACE1 和 BACE2 比被组织蛋白酶 D、去整合素和金属蛋白酶 10 (ADAM10)、肿瘤坏死 α 转换酶 (TACE)、早老素-1 (PS1) 或早老素-2 (PS2) 更有选择性地裂解。
编号:200040
CAS号:1007306-20-8
单字母:Abz-VNLDAE-EDDnp
| 编号: | 200040 |
| 中文名称: | 淀粉肽Abz-(Asn⁶⁷⁰,Leu⁶⁷¹)-Amyloid β/A4 Protein Precur |
| CAS号: | 1007306-20-8 |
| 单字母: | Abz-VNLDAE-EDDnp |
| 三字母: | Abz N端Abz修饰,2-氨基苯甲酰基或邻氨基苯甲酰基(Abz),是一种荧光染料,其激发波长为320纳米,发射波长为420纳米。 -ValL-缬氨酸:valine。系统命名为(2S)-氨基-3-甲基丁酸。是编码氨基酸。是哺乳动物的必需氨基酸。符号:V,Val。在某些放线菌素如缬霉素中存在 D-缬氨酸。 -Asn天冬酰胺:asparagine。L-天冬酰胺的系统命名为(2S)-氨基-3-氨酰基丙酸,是编码氨基酸。符号:N,Asn。D-天冬酰胺存在于短杆菌肽A分子中。 -LeuL-亮氨酸:leucine。系统命名为(2S)-氨基-4-甲基戊酸。是编码氨基酸。是哺乳动物的必需氨基酸。符号:L,Leu。 -AspL-天冬氨酸:aspartic acid。系统命名为(2S)-氨基-丁二酸。是编码氨基酸,又是神经递质。符号:D,Asp。D-天冬氨酸存在于多种细菌的细胞壁和短杆菌肽A中。 -Ala丙氨酸:alanine。L-丙氨酸的系统命名为(2S)-氨基丙酸,是编码氨基酸,也叫L-α-丙氨酸。符号:A,Ala。D-丙氨酸存在于多种细菌细胞壁的糖肽中。β-丙氨酸是维生素泛酸和辅酶A的组分。 -GluL-谷氨酸:glutamic acid。系统命名为(2S)-氨基-戊二酸。是编码氨基酸。符号:E,Glu。D-谷氨酸存在于多种细菌的细胞壁和某些细菌杆菌肽中。 -EDDnp暂无说明 |
| 氨基酸个数: | 6 |
| 分子式: | C42H58N12O16 |
| 平均分子量: | 986.98 |
| 精确分子量: | 986.41 |
| 等电点(PI): | - |
| pH=7.0时的净电荷数: | -2 |
| 平均亲水性: | 0.4 |
| 疏水性值: | -0.12 |
| 消光系数: | - |
| 来源: | 人工化学合成,仅限科学研究使用,不得用于人体。 |
| 储存条件: | 负80℃至负20℃ |
| 标签: | 淀粉样肽(Amyloid Peptides) Abz标记肽 |
Intramolecularly quenched fluorescent substrate containing the ortho-aminobenzoyl (Abz) / N-(2,4-dinitrophenyl)ethylenediamine (EDDnp) groups as the donor / acceptor pair. It corresponds to the Swedish-mutated (JMV2236) β-amyloid precursor protein (βAPP) sequence targeted by β-secretase BACE (β-site APP-cleaving activity). This FRET substrate is more selectively cleaved by BACE1 and BACE2 than by cathepsin D, a disintegrin and metalloprotease 10 (ADAM10), tumor necrosis α-converting enzyme (TACE), presenilin-1 (PS1), or presenilin-2 (PS2).
淀粉肽背景:β淀粉样蛋白(Aβ或Abeta)是从淀粉样前体蛋白加工而成的含有36–43个氨基酸的多肽。Aβ是与阿尔兹海默病相关的淀粉样蛋白斑的成分。已有证据表明,Aβ是一个多功能肽,具有显著的非病理性活性。Aβ是阿尔兹海默病患者脑中发现的沉积物的主要成分。在散发性阿尔兹海默病患者的脑中,Aβ的水平升高,造成脑血管病变和神经毒性。Aβ蛋白是由β和γ分泌酶的连续作用而产生的。γ分泌酶产生Aβ肽的C末端,在APP的转膜结构域切割,可以产生许多36-43个氨基酸残基长度的异构体,最常见的异构体是Aβ40和Aβ42。更长形式的Aβ在内质网中切割产生,而更短形式的Aβ在反面高尔基网中产生。

structure of Amyloid β-Peptide (1-40) (human)
淀粉样蛋白肽的 定义淀粉样蛋白 是丝状蛋白质沉积物,大小从纳米到微米不等,并且由肽β链的平行或反平行排列形成的聚集的肽β折叠构成。
结构特征:使用固态NMR(SSNMR),与计算能量最小化过程结合,Tycko和合作者已经提出从淀粉状蛋白肽SS(Aß1-40)的40个残基的形式形成的淀粉样蛋白原纤维的结构在pH 7.4和24 o C在静止条件下。在这种结构中,每个Aß1-40分子在原纤维的核心区域贡献一对ß链,大约跨越残基12-24和30-40。这些由回路25-29连接的链不是同一张ß-sheet的一部分,但参与同一原丝内两个不同的ß-sheets的形成。不同的Aß分子2、3至少从第9到39位残基以平行排列和对齐的方式相互堆叠。通过调用其他实验约束,例如使用透射电子显微镜(TEM)观察到的原丝直径和单位质量通过扫描透射电子显微镜(STEM)1、2测得的长度表明,单个原丝是由四个ß片组成的,它们之间的距离约为10Å。
作用模式:阿尔茨海默氏病(AD)是淀粉样蛋白丝状沉积物的结果,淀粉状蛋白沉积物在分子水平上定义该疾病,发生在神经周膜,轴突,树突和神经元末端,如神经原纤维缠结(NFT),在细胞外神经纤维中淀粉样斑块(APC),以及周围的血管称为淀粉样嗜血性血管病(ACA)。淀粉样蛋白沉积物显然发生在发展NFT的神经元末端区域。已经表明,APC和ACA的主要成分已被证明是4.5kDa的淀粉样蛋白,最初被称为“β-蛋白”或“淀粉样蛋白A4”,我们现在将其称为“βA4”。
功能:钙失调和膜破坏是可溶性淀粉样蛋白低聚物普遍存在的神经毒性机制:进行了一项研究,以研究Ca 2+信号转导可能参与淀粉样蛋白诱导的细胞毒性,疾病相关淀粉样蛋白(β,病毒,胰岛淀粉样蛋白)的均质制剂制备了处于各种聚集状态的多肽,聚谷氨酰胺和溶菌酶),并测试了它们对加载fluo-3的SH-SY5Y细胞的作用。寡聚形式的所有淀粉样蛋白的应用(0.6-6 µg / ml)迅速(约5 s)使细胞内Ca 2+升高,而等量的单体和原纤维则没有。细胞内Ca 2+耗尽后,Abeta42低聚物引起的Ca 2+信号持续存在店,和小信号仍留在钙2 + -游离介质,指示从细胞外和细胞内Ca贡献2+源。膜对Ca 2+的渗透性增加不能归因于内源性Ca 2+通道的活化,因为反应不受强力的Ca 2 +-通道阻滞剂钴的影响。取而代之的是,观察到Abeta42和其他低聚物引起阴离子荧光染料的快速细胞泄漏,这表明膜通透性普遍提高。导致的离子和分子通量失调可能为许多淀粉样变性疾病中Ca 2+失调提供了由低聚物介导的毒性的常见机制。离子起着至关重要的作用,因为它们的跨膜浓度梯度很强,并且参与了细胞功能障碍和死亡。
2型糖尿病中的胰岛淀粉样蛋白和毒性低聚物假说: 2型糖尿病(T2DM)的特征是胰岛素抵抗,胰岛素分泌缺陷,β细胞量减少,β细胞凋亡增加和胰岛淀粉样蛋白。胰岛淀粉样蛋白源自胰岛淀粉样蛋白多肽(IAPP,胰岛淀粉样多肽),该蛋白是通过胰β细胞与胰岛素共表达和共分泌的蛋白。与其他淀粉样蛋白一样,IAPP具有形成膜渗透性毒性低聚物的倾向。越来越多的证据表明,这些有毒的寡聚体而不是这些蛋白质的细胞外淀粉样蛋白形式,是导致神经退行性疾病中神经元丢失的原因。有人提出,胞内IAPP寡聚物的形成可能会导致T2DM 6中的β细胞丢失。
Abz标记肽的说明:
2-Aminobenzoyl, or Anthraniloyl, (Abz) is a fluorophor with an excitation at 320 nm ▉ and emission of 420 nm ▉.
| DOI | 名称 | |
|---|---|---|
| 10.1074/jbc.M302622200 | BACE1- and BACE2-expressing human cells: characterization of beta-amyloid precursor protein-derived catabolites, design of a novel fluorimetric assay, and identification of new in vitro inhibitors | 下载 |
| 10.1074/jbc.M112.395608 | The metalloprotease meprin β generates amino terminal-truncated amyloid β peptide species | 下载 |
| 10.1016/j.ejphar.2017.02.001 | Memantine reduces the production of amyloid-β peptides through modulation of amyloid precursor protein trafficking | 下载 |
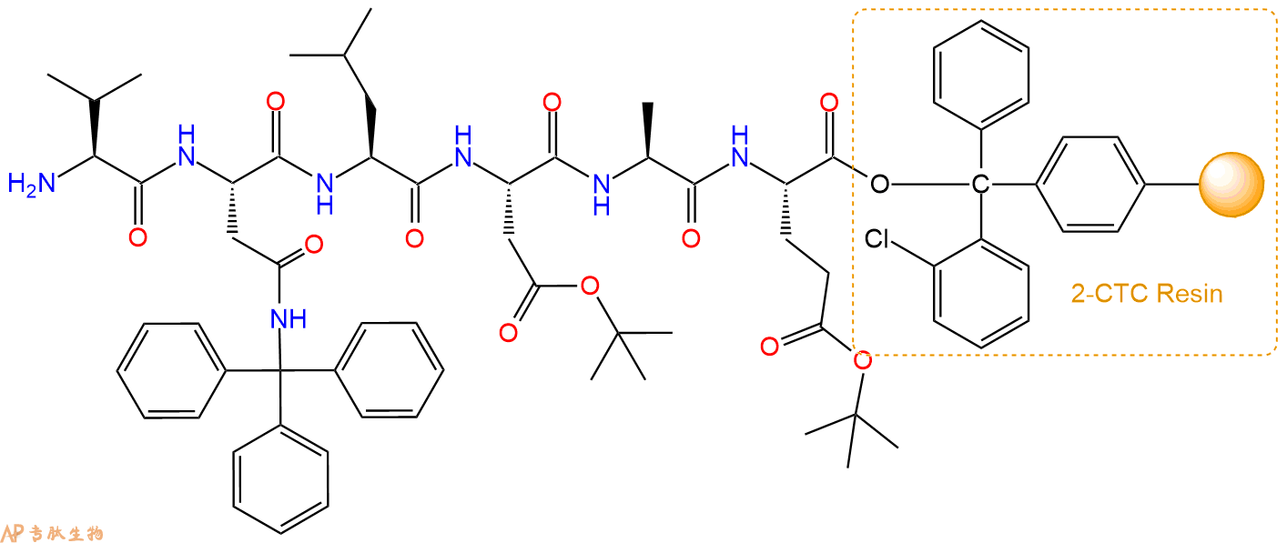
多肽Abz-Val-Asn-Leu-Asp-Ala-Glu-EDDnp的合成步骤:
1、合成CTC树脂:称取1.1g CTC Resin(如初始取代度约为0.84mmol/g)和1.11mmol Fmoc-Glu(OtBu)-OH于反应器中,加入适量DCM溶解氨基酸(需要注意,此时CTC树脂体积会增大好几倍,避免DCM溶液过少),再加入2.77mmol DIPEA(Mw:129.1,d:0.740g/ml),反应2-3小时后,可不抽滤溶液,直接加入1ml的HPLC级甲醇,封端半小时。依次用DMF洗涤2次,甲醇洗涤1次,DCM洗涤一次,甲醇洗涤一次,DCM洗涤一次,DMF洗涤2次(这里使用甲醇和DCM交替洗涤,是为了更好地去除其他溶质,有利于后续反应)。得到 Fmoc-Glu(OtBu)-CTC Resin。结构图如下:

2、脱Fmoc:加3倍树脂体积的20%Pip/DMF溶液,鼓氮气30分钟,然后2倍树脂体积的DMF 洗涤5次。得到 H2N-Glu(OtBu)-CTC Resin 。(此步骤脱除Fmoc基团,茚三酮检测为蓝色,Pip为哌啶)。结构图如下:

3、缩合:取2.77mmol Fmoc-Ala-OH 氨基酸,加入到上述树脂里,加适当DMF溶解氨基酸,再依次加入5.54mmol DIPEA,2.63mmol HBTU。反应30分钟后,取小样洗涤,茚三酮检测为无色。用2倍树脂体积的DMF 洗涤3次树脂。(洗涤树脂,去掉残留溶剂,为下一步反应做准备)。得到Fmoc-Ala-Glu(OtBu)-CTC Resin。氨基酸:DIPEA:HBTU:树脂=3:6:2.85:1(摩尔比)。结构图如下:

4、依次循环步骤二、步骤三,依次得到
H2N-Ala-Glu(OtBu)-CTC Resin
Fmoc-Asp(OtBu)-Ala-Glu(OtBu)-CTC Resin
H2N-Asp(OtBu)-Ala-Glu(OtBu)-CTC Resin
Fmoc-Leu-Asp(OtBu)-Ala-Glu(OtBu)-CTC Resin
H2N-Leu-Asp(OtBu)-Ala-Glu(OtBu)-CTC Resin
Fmoc-Asn(Trt)-Leu-Asp(OtBu)-Ala-Glu(OtBu)-CTC Resin
H2N-Asn(Trt)-Leu-Asp(OtBu)-Ala-Glu(OtBu)-CTC Resin
Fmoc-Val-Asn(Trt)-Leu-Asp(OtBu)-Ala-Glu(OtBu)-CTC Resin
以上中间结构,均可在专肽生物多肽计算器-多肽结构计算器中,一键画出。
最后再经过步骤二得到 H2N-Val-Asn(Trt)-Leu-Asp(OtBu)-Ala-Glu(OtBu)-CTC Resin,结构如下:

5、邻氨基苯甲酸反应连接:在上述树脂中,加入适当DMF后,再加入2.77mmol邻氨基苯甲酸到树脂中,再加入5.54mmol DIPEA,鼓氮气反应30分钟。用2倍树脂体积的DMF 洗涤3次树脂(洗涤树脂,去掉残留溶剂,为下一步反应做准备)。 得到Abz-Val-Asn(Trt)-Leu-Asp(OtBu)-Ala-Glu(OtBu)-CTC Resin。 结构如下:

6、全保护切割:配置0.5%TFA/DCM溶液,溶液体积约为树脂体积的3倍。再次用DCM洗涤树脂2遍(去除残留DMF),后将配置好的溶液倒入到反应器中,反应30分钟。抽滤树脂,收集滤液(此时多肽已经从树脂上分离,存在于滤液中)。多肽序列为 Abz-Val-Asn(Trt)-Leu-Asp(OtBu)-Ala-Glu(OtBu)-CTC Resin。 在滤液中添加DIEPA,调PH至7-8。用饱和NaHCO3洗涤滤液,分离出DCM层溶液。可适当旋蒸DCM层溶液,减少有机溶剂。再次加入1或2倍体积的乙酸乙酯,用稀HCl溶液调PH至微酸性,将多肽从DCM层萃取到乙酸乙酯层。用饱和NaCl洗涤2次乙酸乙酯层。用无水硫酸镁吸收乙酸乙酯层的水分。通过减压旋蒸,直接将乙酸乙酯完全旋蒸掉,得到晶体状固体多肽,用于下一步C端反应。或通过减压旋蒸保留适量乙酸乙酯的溶液体积,加入冰乙醚析出 多肽,然后对多肽进行烘干操作即可用于下一步C端反应。Abz-Val-Asn(Trt)-Leu-Asp(OtBu)-Ala-Glu(OtBu)-COOH的结构图如下。

7、N1-(2,4-硝基苯基)-1,2-乙二胺反应连接:在上述树脂中,加入适当DMF后,再加入2.77mmol N1-(2,4-硝基苯基)-1,2-乙二胺到树脂中,再加入5.54mmol DIPEA、2.63mmol HBTU,鼓氮气反应30分钟。用2倍树脂体积的DMF 洗涤3次树脂(洗涤树脂,去掉残留溶剂,为下一步反应做准备)。 得到 Abz-Val-Asn(Trt)-Leu-Asp(OtBu)-Ala-Glu(OtBu)-EDDnp。 结构如下:

8、切割:6倍树脂体积的切割液(或每1g树脂加8ml左右的切割液),摇床摇晃 2小时,过滤掉树脂,用冰无水乙醚沉淀滤液,并用冰无水乙醚洗涤沉淀物3次,最后将沉淀物放真空干燥釜中,常温干燥24小试,得到粗品Abz-Val-Asn-Leu-Asp-Ala-Glu-EDDnp。结构图见产品结构图。
切割液选择:1)TFA:H2O=95%:5%
2)TFA:H2O:TIS=95%:2.5%:2.5%
3)三氟乙酸:茴香硫醚:1,2-乙二硫醇:苯酚:水=87.5%:5%:2.5%:2.5%:2.5%
(前两种适合没有容易氧化的氨基酸,例如Trp、Cys、Met。第三种适合几乎所有的序列。)
9、纯化冻干:使用液相色谱纯化,收集目标峰液体,进行冻干,获得蓬松的粉末状固体多肽。不过这时要取小样复测下纯度 是否目标纯度。
10、最后总结:
杭州专肽生物技术有限公司(ALLPEPTIDE https://www.allpeptide.com)主营定制多肽合成业务,提供各类长肽,短肽,环肽,提供各类修饰肽,如:荧光标记修饰(CY3、CY5、CY5.5、CY7、FAM、FITC、Rhodamine B、TAMRA等),功能基团修饰肽(叠氮、炔基、DBCO、DOTA、NOTA等),同位素标记肽(N15、C13),订书肽(Stapled Peptide),脂肪酸修饰肽(Pal、Myr、Ste),磷酸化修饰肽(P-Ser、P-Thr、P-Tyr),环肽(酰胺键环肽、一对或者多对二硫键环),生物素标记肽,PEG修饰肽,甲基化修饰肽等。
以上所有内容,为专肽生物原创内容,请勿发布到其他网站上。





