400-998-5282
专注多肽 服务科研

致癌蛋白Shc的317至320位残基。
编号:202059
CAS号:168423-05-0
单字母:H2N-pTyr-VNV-OH
| 编号: | 202059 |
| 中文名称: | 致癌蛋白Shc的317至320位残基:Tyr(PO3H2)-Val-Asn-Val |
| CAS号: | 168423-05-0 |
| 单字母: | H2N-pTyr-VNV-OH |
| 三字母: | H2N N端氨基:N-terminal amino group。在肽或多肽链中含有游离a-氨基的氨基酸一端。在表示氨基酸序列时,通常将N端放在肽链的左边。 -Tyr(PO3H2)磷酸化酪氨酸 -ValL-缬氨酸:valine。系统命名为(2S)-氨基-3-甲基丁酸。是编码氨基酸。是哺乳动物的必需氨基酸。符号:V,Val。在某些放线菌素如缬霉素中存在 D-缬氨酸。 -Asn天冬酰胺:asparagine。L-天冬酰胺的系统命名为(2S)-氨基-3-氨酰基丙酸,是编码氨基酸。符号:N,Asn。D-天冬酰胺存在于短杆菌肽A分子中。 -ValL-缬氨酸:valine。系统命名为(2S)-氨基-3-甲基丁酸。是编码氨基酸。是哺乳动物的必需氨基酸。符号:V,Val。在某些放线菌素如缬霉素中存在 D-缬氨酸。 -OHC端羧基:C-terminal carboxyl group。在肽或多肽链中含有游离羧基的氨基酸一端。在表示氨基酸序列时,通常将C端放在肽链的右边。 |
| 氨基酸个数: | 4 |
| 分子式: | C23H36N5O10P1 |
| 平均分子量: | 573.53 |
| 精确分子量: | 573.22 |
| 等电点(PI): | - |
| pH=7.0时的净电荷数: | 0.97 |
| 平均亲水性: | -0.93333333333333 |
| 疏水性值: | 1.63 |
| 外观与性状: | 粉末状固体 |
| 消光系数: | 1490 |
| 来源: | 人工化学合成,仅限科学研究使用,不得用于人体。 |
| 储存条件: | 负80℃至负20℃ |
| 标签: | 磷酸化修饰肽 |
该肽对应于致癌蛋白Shc的317至320位残基。在受体酪氨酸激酶及其底物中也发现了类似的磷酸酪氨酸基序。该肽以高亲和力(18 nM)与生长因子结合蛋白2(Grb2)的SH2结构域结合。它是Grb2与Shc相互作用或与细胞信号级联中其他Grb-2结合蛋白相互作用的有效抑制剂。
This peptide corresponds to residues 317 to 320 of the oncogenic protein Shc. Similar phosphotyrosine motifs are also found in receptor tyrosine kinases and substrates of them. This peptide binds with high affinity (18 nM) to the SH2 domain of the growth factor bound-2 protein (Grb2). It is a useful inhibitor of the interaction of Grb2 with Shc, or with other Grb-2-binding proteins involved in the cell signaling cascade.
磷酸肽的合成
在生命过程中发挥重要作用,磷酸化的位置在多肽上的Tyr、Ser,Thr,。目前磷酸肽合成一般都采用磷酸化氨基酸,目前使用的都是单苄基磷酸化氨基酸。磷酸化氨基酸的连接一般采用HBTU/HOBt/DIEA方法,但是目前采用该方法合成磷酸化多肽也有缺点,特别是在合成多磷酸化多肽或氨基酸较长的多肽的时候,连接效率低,最后产品纯度很低,对于这种磷酸化多肽,我们考虑采用后磷酸化方法,其合成过程就是在多肽合成结束后,选择性脱去要标记的氨基酸的侧链保护基,对于Tyr,Thr可以直接使用侧链不保护的氨基酸进行反应,而Ser可以采用Fmoc-Ser(trt),在1% TFA/DCM条件下可以定量的脱除。后磷酸化,采用双苄基亚磷酰胺,四氮唑生成亚磷酰胺四唑活性中间体,连接到羟基上,随后在过氧酸下氧化生成磷酰基,完成反应。
目前,多肽的磷酸化修饰方法主要有两种:
(1)将适当保护的磷酸化氨基酸直接引入到多肽序列中;
(2)多肽序列在树脂上合成完后,再对其中的Ser、Tyr或Thr的侧链羟基进行磷酸化。
1)将适当保护的磷酸化氨基酸直接引入到多肽序列中:
即事先将需要磷酸化的氨基酸(Thr,Ser或Tyr)磷酸化并适当保护,然后按照正常SPPS 合成流程将磷酸化单体缩合到多肽指定位点。这种方法操作简便,已经成为多肽单位点 磷酸化修饰的主要方法。

2)多肽序列在树脂上合成完后,再对其中的Ser、Tyr或Thr的侧链羟基进行磷酸化:
采用将磷酸化单体缩合到多肽中的方法进行磷酸化修饰时,磷酸化的氨基酸由于侧链修 饰的较大基团产生的位阻而导致难以与肽链缩合,并且之后的氨基酸引入都会比较困难, 尤其在含有多个磷酸化位点修饰时,合成将变得异常困难,并且最终产物成分复杂,难 以分离,产率极低。
因此,当肽链中多个位点进行磷酸化时,可以考虑采用将多肽序列 在树脂上合成完后,再对其中的Ser、Tyr或Thr的侧链羟基进行磷酸化:其合成过程主要 就是在多肽合成结束之后,选择性的脱去要标记氨基酸的侧链保护基,对于Tyr,Thr可 以直接使用侧链不保护的氨基酸进行反应。
侧链保护基在1%TFA/DCM条件下可以定量的脱 除。采用这种方法时,可以采用双苄基亚磷酰胺,四氮唑生成亚磷酰胺四唑活性中间体, 连接到羟基上,然后在过氧酸条件下氧化生成磷酰基,完成反应。
磷酸肽的的介绍
在所有的PTM中,磷酸化是最丰富和最重要的修饰之一。磷酸基团是一个高度带负电的分子,在磷原子周围有一个四面体结构。磷酸化多肽主要指肽链中的Ser、Tyr和Thr 残基的侧链羟基被修饰成酸式磷酸酯多肽。许多激素均是通过提高丝氨酸(Ser)或苏氨酸(Thr)残基的磷酸化状态来调节特异性酶的活性。磷酸化与人类疾病高度相关。例如,tau、α-synuclein和huntingtin的过度/多重磷酸化与人类疾病高度相关,聚集磷酸化也爆发神经退行性疾病的主要原因之一,例如阿尔茨海默氏病、帕金森氏病和亨廷顿氏病。目前,对磷酸化氨基酸的主要研究集中在羟基磷酸单酯型磷酸化氨基酸(O-磷酸化氨基酸),即磷酸化丝氨酸,磷酸化苏氨酸,磷酸化酪氨酸。

专肽生物生物为客户提供pSer、pTyr、pThr和D-pSer、D-pTyr、D-pThr的磷酸化修饰服务,也可以进行二、三、四、五个磷酸化位点修饰的高质量多肽的合成。
多肽H2N-Tyr(PO3H2)-Val-Asn-Val-COOH的合成步骤:
1、合成CTC树脂:称取1.78g CTC Resin(如初始取代度约为0.5mmol/g)和1.07mmol Fmoc-Val-OH于反应器中,加入适量DCM溶解氨基酸(需要注意,此时CTC树脂体积会增大好几倍,避免DCM溶液过少),再加入2.67mmol DIPEA(Mw:129.1,d:0.740g/ml),反应2-3小时后,可不抽滤溶液,直接加入1ml的HPLC级甲醇,封端半小时。依次用DMF洗涤2次,甲醇洗涤1次,DCM洗涤一次,甲醇洗涤一次,DCM洗涤一次,DMF洗涤2次(这里使用甲醇和DCM交替洗涤,是为了更好地去除其他溶质,有利于后续反应)。得到 Fmoc-Val-CTC Resin。结构图如下:

2、脱Fmoc:加3倍树脂体积的20%Pip/DMF溶液,鼓氮气30分钟,然后2倍树脂体积的DMF 洗涤5次。得到 H2N-Val-CTC Resin 。(此步骤脱除Fmoc基团,茚三酮检测为蓝色,Pip为哌啶)。结构图如下:

3、缩合:取2.67mmol Fmoc-Asn(Trt)-OH 氨基酸,加入到上述树脂里,加适当DMF溶解氨基酸,再依次加入5.34mmol DIPEA,2.54mmol HBTU。反应30分钟后,取小样洗涤,茚三酮检测为无色。用2倍树脂体积的DMF 洗涤3次树脂。(洗涤树脂,去掉残留溶剂,为下一步反应做准备)。得到Fmoc-Asn(Trt)-Val-CTC Resin。氨基酸:DIPEA:HBTU:树脂=3:6:2.85:1(摩尔比)。结构图如下:

4、依次循环步骤二、步骤三,依次得到
H2N-Asn(Trt)-Val-CTC Resin
Fmoc-Val-Asn(Trt)-Val-CTC Resin
H2N-Val-Asn(Trt)-Val-CTC Resin
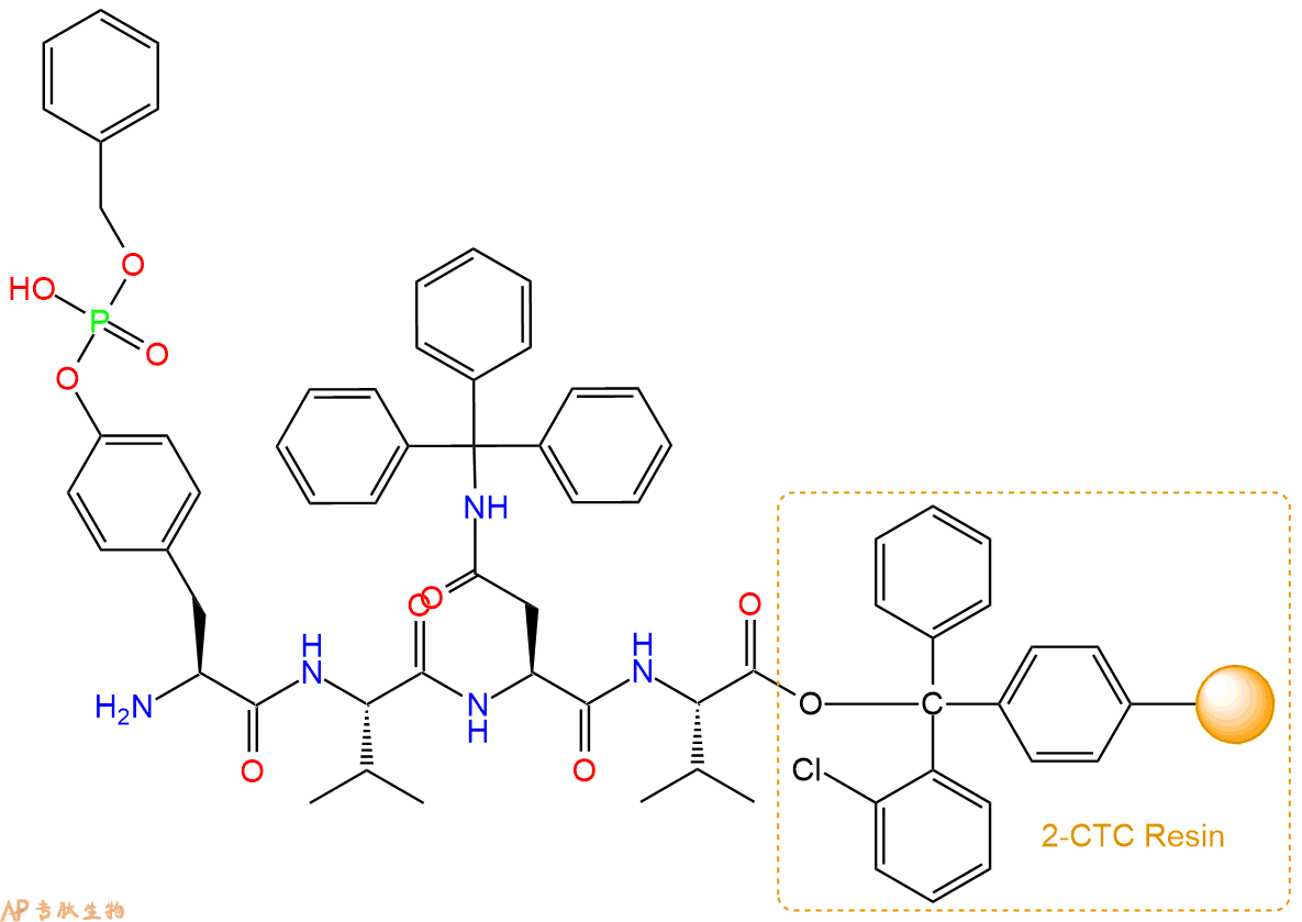
Fmoc-Tyr(HPO3Bzl)-Val-Asn(Trt)-Val-CTC Resin
以上中间结构,均可在专肽生物多肽计算器-多肽结构计算器中,一键画出。
最后再经过步骤二得到 H2N-Tyr(HPO3Bzl)-Val-Asn(Trt)-Val-CTC Resin,结构如下:

5、切割:6倍树脂体积的切割液(或每1g树脂加8ml左右的切割液),摇床摇晃 2小时,过滤掉树脂,用冰无水乙醚沉淀滤液,并用冰无水乙醚洗涤沉淀物3次,最后将沉淀物放真空干燥釜中,常温干燥24小试,得到粗品H2N-Tyr(PO3H2)-Val-Asn-Val-COOH。结构图见产品结构图。
切割液选择:1)TFA:H2O=95%:5%、TFA:H2O=97.5%:2.5%
2)TFA:H2O:TIS=95%:2.5%:2.5%
3)三氟乙酸:茴香硫醚:1,2-乙二硫醇:苯酚:水=87.5%:5%:2.5%:2.5%:2.5%
(前两种适合没有容易氧化的氨基酸,例如Trp、Cys、Met。第三种适合几乎所有的序列。)
6、纯化冻干:使用液相色谱纯化,收集目标峰液体,进行冻干,获得蓬松的粉末状固体多肽。不过这时要取小样复测下纯度 是否目标纯度。
7、最后总结:
杭州专肽生物技术有限公司(ALLPEPTIDE https://www.allpeptide.com)主营定制多肽合成业务,提供各类长肽,短肽,环肽,提供各类修饰肽,如:荧光标记修饰(CY3、CY5、CY5.5、CY7、FAM、FITC、Rhodamine B、TAMRA等),功能基团修饰肽(叠氮、炔基、DBCO、DOTA、NOTA等),同位素标记肽(N15、C13),订书肽(Stapled Peptide),脂肪酸修饰肽(Pal、Myr、Ste),磷酸化修饰肽(P-Ser、P-Thr、P-Tyr),环肽(酰胺键环肽、一对或者多对二硫键环),生物素标记肽,PEG修饰肽,甲基化修饰肽
以上所有内容,为专肽生物原创内容,请勿发布到其他网站上。





