400-998-5282
专注多肽 服务科研

| 编号: | 409762 |
| 中文名称: | H2N-DLys-DLys-DPhe-DLys-DAsp-DPro-DAsn-DAla-COOH |
| 单字母: | H2N-kkfkdpna-OH |
| 三字母: | H2N N端氨基:N-terminal amino group。在肽或多肽链中含有游离a-氨基的氨基酸一端。在表示氨基酸序列时,通常将N端放在肽链的左边。 -DLysD型赖氨酸 -DLysD型赖氨酸 -DPheD型笨丙氨酸 -DLysD型赖氨酸 -DAspD型天冬氨酸 -DProD型脯氨酸 -DAsnD型天冬酰胺 -DAlaD型丙氨酸 -OHC端羧基:C-terminal carboxyl group。在肽或多肽链中含有游离羧基的氨基酸一端。在表示氨基酸序列时,通常将C端放在肽链的右边。 |
| 氨基酸个数: | 8 |
| 分子式: | C43H70N12O12 |
| 平均分子量: | 947.09 |
| 精确分子量: | 946.52 |
| 等电点(PI): | 11.11 |
| pH=7.0时的净电荷数: | 2.98 |
| 平均亲水性: | 1.3142857142857 |
| 疏水性值: | -1.96 |
| 消光系数: | - |
| 标签: | D型氨基酸肽 |
很多蛋白在细胞中非常容易被降解,或被标记,进而被选择性地破坏。但含有部分D型氨基酸的多肽则显示了很强的抵抗蛋白酶降解能力。
多肽H2N-DLys-DLys-DPhe-DLys-DAsp-DPro-DAsn-DAla-COOH的合成步骤:
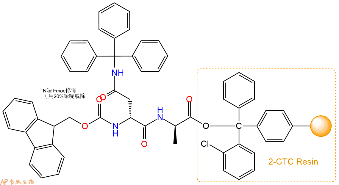
1、合成CTC树脂:称取1.37g CTC Resin(如初始取代度约为0.43mmol/g)和0.71mmol Fmoc-DAla-OH于反应器中,加入适量DCM溶解氨基酸(需要注意,此时CTC树脂体积会增大好几倍,避免DCM溶液过少),再加入1.77mmol DIPEA(Mw:129.1,d:0.740g/ml),反应2-3小时后,可不抽滤溶液,直接加入1ml的HPLC级甲醇,封端半小时。依次用DMF洗涤2次,甲醇洗涤1次,DCM洗涤一次,甲醇洗涤一次,DCM洗涤一次,DMF洗涤2次(这里使用甲醇和DCM交替洗涤,是为了更好地去除其他溶质,有利于后续反应)。得到 Fmoc-DAla-CTC Resin。结构图如下:

2、脱Fmoc:加3倍树脂体积的20%Pip/DMF溶液,鼓氮气30分钟,然后2倍树脂体积的DMF 洗涤5次。得到 H2N-DAla-CTC Resin 。(此步骤脱除Fmoc基团,茚三酮检测为蓝色,Pip为哌啶)。结构图如下:

3、缩合:取1.77mmol Fmoc-DAsn(Trt)-OH 氨基酸,加入到上述树脂里,加适当DMF溶解氨基酸,再依次加入3.53mmol DIPEA,1.68mmol HBTU。反应30分钟后,取小样洗涤,茚三酮检测为无色。用2倍树脂体积的DMF 洗涤3次树脂。(洗涤树脂,去掉残留溶剂,为下一步反应做准备)。得到Fmoc-DAsn(Trt)-DAla-CTC Resin。氨基酸:DIPEA:HBTU:树脂=3:6:2.85:1(摩尔比)。结构图如下:

4、依次循环步骤二、步骤三,依次得到
H2N-DAsn(Trt)-DAla-CTC Resin
Fmoc-DPro-DAsn(Trt)-DAla-CTC Resin
H2N-DPro-DAsn(Trt)-DAla-CTC Resin
Fmoc-DAsp(OtBu)-DPro-DAsn(Trt)-DAla-CTC Resin
H2N-DAsp(OtBu)-DPro-DAsn(Trt)-DAla-CTC Resin
Fmoc-DLys(Boc)-DAsp(OtBu)-DPro-DAsn(Trt)-DAla-CTC Resin
H2N-DLys(Boc)-DAsp(OtBu)-DPro-DAsn(Trt)-DAla-CTC Resin
Fmoc-DPhe-DLys(Boc)-DAsp(OtBu)-DPro-DAsn(Trt)-DAla-CTC Resin
H2N-DPhe-DLys(Boc)-DAsp(OtBu)-DPro-DAsn(Trt)-DAla-CTC Resin
Fmoc-DLys(Boc)-DPhe-DLys(Boc)-DAsp(OtBu)-DPro-DAsn(Trt)-DAla-CTC Resin
H2N-DLys(Boc)-DPhe-DLys(Boc)-DAsp(OtBu)-DPro-DAsn(Trt)-DAla-CTC Resin
Fmoc-DLys(Boc)-DLys(Boc)-DPhe-DLys(Boc)-DAsp(OtBu)-DPro-DAsn(Trt)-DAla-CTC Resin
以上中间结构,均可在专肽生物多肽计算器-多肽结构计算器中,一键画出。
最后再经过步骤二得到 H2N-DLys(Boc)-DLys(Boc)-DPhe-DLys(Boc)-DAsp(OtBu)-DPro-DAsn(Trt)-DAla-CTC Resin,结构如下:

5、切割:6倍树脂体积的切割液(或每1g树脂加8ml左右的切割液),摇床摇晃 2小时,过滤掉树脂,用冰无水乙醚沉淀滤液,并用冰无水乙醚洗涤沉淀物3次,最后将沉淀物放真空干燥釜中,常温干燥24小试,得到粗品H2N-DLys-DLys-DPhe-DLys-DAsp-DPro-DAsn-DAla-COOH。结构图见产品结构图。
切割液选择:1)TFA:H2O=95%:5%
2)TFA:H2O:TIS=95%:2.5%:2.5%
3)三氟乙酸:茴香硫醚:1,2-乙二硫醇:苯酚:水=87.5%:5%:2.5%:2.5%:2.5%
(前两种适合没有容易氧化的氨基酸,例如Trp、Cys、Met。第三种适合几乎所有的序列。)
6、纯化冻干:使用液相色谱纯化,收集目标峰液体,进行冻干,获得蓬松的粉末状固体多肽。不过这时要取小样复测下纯度 是否目标纯度。
7、最后总结:
杭州专肽生物技术有限公司(ALLPEPTIDE https://www.allpeptide.com)主营定制多肽合成业务,提供各类长肽,短肽,环肽,提供各类修饰肽,如:荧光标记修饰(CY3、CY5、CY5.5、CY7、FAM、FITC、Rhodamine B、TAMRA等),功能基团修饰肽(叠氮、炔基、DBCO、DOTA、NOTA等),同位素标记肽(N15、C13),订书肽(Stapled Peptide),脂肪酸修饰肽(Pal、Myr、Ste),磷酸化修饰肽(P-Ser、P-Thr、P-Tyr),环肽(酰胺键环肽、一对或者多对二硫键环),生物素标记肽,PEG修饰肽,甲基化修饰肽
以上所有内容,为专肽生物原创内容,请勿发布到其他网站上。





