400-998-5282
专注多肽 服务科研
编号:410195
CAS号:
三字母:H2N-DAla-DPhe-DPhe-DLeu-DPhe-OH
描 述:
编号:409684
三字母:H2N-DMet-DTrp-DAsn-DAsn-DThr-OH
编号:408918
三字母:H2N-DGlu-DAsp-DGlu-DGlu-DAsp-OH
编号:409432
三字母:H2N-DTyr-DIle-DPro-DPro-DLys-OH
编号:409434
三字母:H2N-DGlu-DHis-DLys-DLys-DLys-OH
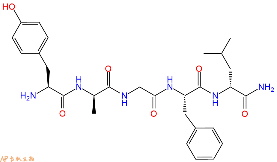
编号:433300
CAS号: 66609-26-5
三字母:H2N-Tyr-DAla-Gly-Phe-DLeu-CONH2
编号:408926
三字母:H2N-DGlu-DAsp-DMet-DAla-DLys-OH
编号:410205
三字母:H2N-DGlu-DLys-DLys-DAla-DAla-OH
编号:409184
三字母:H2N-DTyr-DAla-DPhe-DPhe-DVal-OH
编号:409953
三字母:H2N-DAsn-DAla-DPro-DLys-DArg-OH
1号客服
2号客服
3号客服
4号客服
4009985282
17342063383
18715164942