400-998-5282
专注多肽 服务科研
编号:153957
CAS号:35766-28-0
三字母:Cbz-Ala-Ala-Gly-Gly-Ala-Gly-OH
描 述:
编号:189829
CAS号:77374-44-8
三字母:Cbz-Cys(BzlOMe)-Gly-Gly-Gly-OH
编号:202402
CAS号:7598-84-7
三字母:Cbz-Gly-Gly-Gly-Gly-Gly-Gly-OH
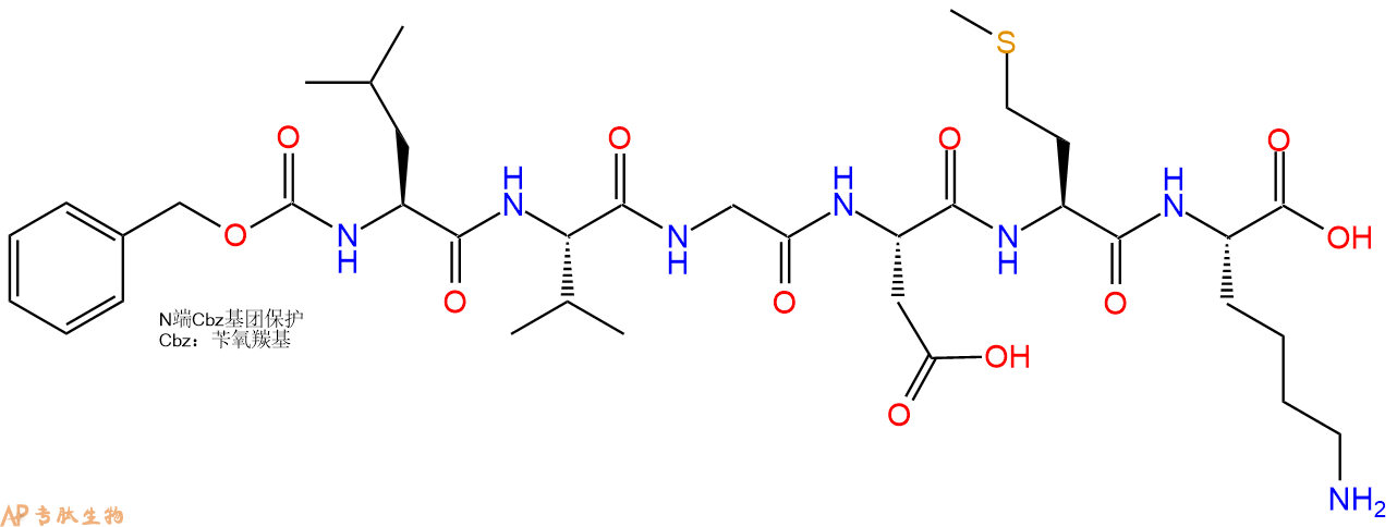
编号:413222
CAS号:
三字母:Cbz-Leu-Val-Gly-Asp-Met-Lys-OH
编号:184673
CAS号:61543-34-8
三字母:Cbz-Ile-Leu-Orn-Pro-Ile-Met-OH
编号:129878
CAS号:114195-51-6
三字母:Cbz-Ala-Ile-Orn-Asp-Bip-Phe-SH
编号:199875
CAS号:135112-52-6
三字母:Cbz-Leu-DLAla-DLAla-DLAla-OBzl
编号:132203
CAS号:100259-25-4
三字母:Cbz-βAla-βAla-βAla-βAla-OH
编号:164769
CAS号:19912-41-5
三字母:Cbz-Ala-Gly-Gly-Ala-Gly-Gly-OH
编号:433303
三字母:Cbz-Val-Val-Nle-Asp-Met-Lys-OH
1号客服
2号客服
3号客服
4号客服
4009985282
17342063383
18715164942