
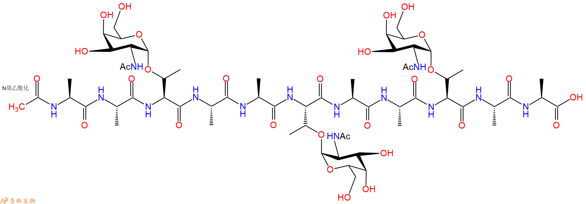
编号:149550
CAS号:1221397-17-6
三字母:Ac-Ala-Ala-Thr(GalNAc)-Ala-Ala-Thr(GalNAc)-Ala-Ala-Thr(GalNAc)-Ala-Ala-OH
描 述:
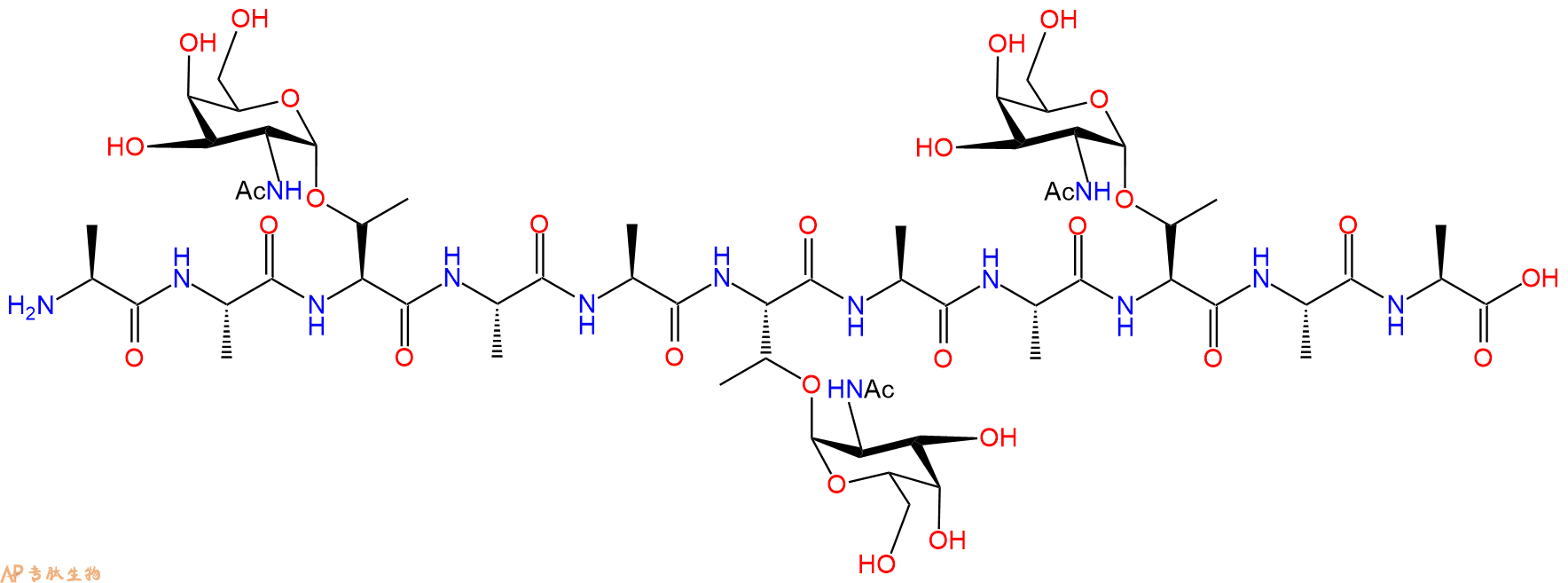
编号:172932
CAS号:1123216-60-3
三字母:H2N-Ala-Ala-Thr(GalNAc)-Ala-Ala-Thr(GalNAc)-Ala-Ala-Thr(GalNAc)-Ala-Ala-OH
描 述:
编号:126764
CAS号:1123216-63-6
三字母:H2N-Ala-Ala-Thr(GalNAc)-Ala-Ala-Thr(GalNAc)-Ala-Ala-Thr(GalNAc)-Ala-Ala-Thr(GalNAc)-Ala-Ala-OH
描 述:
编号:124928
CAS号:1221397-21-2
三字母:H2N-Ala-Ala-Thr(GalNAc)-Gly-Ala-Thr(GalNAc)-Ala-Ala-Thr(GalNAc)-Pro-Ala-OH
描 述:
编号:116167
CAS号:1221397-20-1
三字母:H2N-Ala-Ala-Thr(GalNAc)-Pro-Ala-Thr(GalNAc)-Ala-Ala-Thr(GalNAc)-Pro-Ala-OH
描 述:
编号:224730
CAS号:
三字母:H2N-Asp-Ala-Asp-Glu-Ser(OGlcNAc)-Leu-OH
描 述:
编号:224731
CAS号:
三字母:H2N-Arg-Arg-Ala-Ala-Glu-Glu-Leu-Asp-Ser-Arg-Ala-Gly-Ser(OGlcNAc)-Pro-Gln-Leu-OH
描 述:
编号:466488
CAS号:
三字母:H2N-Met-Leu-Ala-Ala-Ala-Ala-Glu-Arg-Arg-Leu-Gln-Arg-Gln-Arg-Thr-Thr(OGlcNAc)-OH
描 述:
编号:509881
CAS号:
三字母:H2N-Ile-Ser(GalNAc)-Gln-Ala-Val-His-Ala-Ala-His-Ala-Glu-Ile-Asn-Glu-Ala-Gly-Arg-OH
描 述:
编号:520534
CAS号:
三字母:H2N-Ala-Thr-His-Ile-Lys-Phe-Ser-Lys-Arg-Asp-Glu-Asp-Gly-Lys-Glu-Leu-Ala-Gly-Ala-Thr-Met-Glu-Leu-Arg-Asn(GlcNAc)-OH
描 述:





