400-998-5282
专注多肽 服务科研
编号:150878
CAS号:219138-08-6
三字母:Cbz-Val-Asp-Val-Ala-Asp-AFC
描 述:
编号:202355
CAS号:400727-81-3
三字母:MCA-Leu-Glu-Val-Asp-Gly-Trp-Lys(Dnp)-CONH2
描 述:
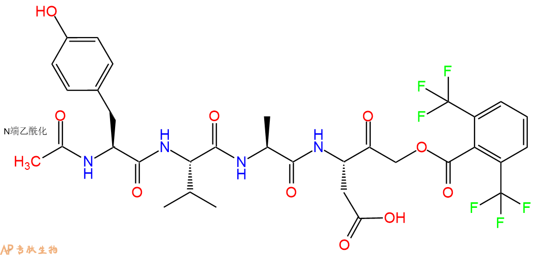
编号:635316
CAS号:
三字母:Ac-Tyr-Val-Ala-Asp-fluoroacyloxymethylketone
描 述:
编号:635317
CAS号:
三字母:Biotinyl-Tyr-Val-Ala-Asp-fluoroacyloxymethylketone
描 述:
编号:434344
CAS号:
三字母:H2N-Ala-Val-Pro-Ile-Ala-Gln-Lys-Ser-Glu-Lys-Lys(5FAM)-CONH2
描 述:
编号:635300
CAS号:
三字母:H2N-Lys-Glu-Ala-Pro-Pro-Ala-Pro-Pro-Gln-Ser(PO3H2)-Pro-CONH2
描 述:
编号:635302
CAS号:
三字母:Myristicacid-Gly-Lys-Glu-Ala-Pro-Pro-Ala-Pro-Pro-Gln-Ser(PO3H2)-Pro-CONH2
描 述:





