400-998-5282
专注多肽 服务科研

Diacetyl-Lys-D-Ala-D-Ala (DALAA) is a substrate for penicillin-sensitive D-alanine carboxypeptidases (DD-carboxypeptidases).
编号:122552
CAS号:24570-39-6
单字母:Ac-K(Ac)-aa-OH
| 编号: | 122552 |
| 中文名称: | N,N,Diacetyl-Lys-DAla-DAla |
| 英文名: | Ac2-Lys-DAla-DAla |
| 英文同义词: | Ac₂-Lys-D-Ala-D-Ala-OH, N,N,Diacetyl-Lys-DAla-DAla, Diacetyl-Lys-D-Ala-D-Ala-OH, DALAA |
| CAS号: | 24570-39-6 |
| 单字母: | Ac-K(Ac)-aa-OH |
| 三字母: | Ac N端乙酰化封端,一种常见的修饰方式,常用于模拟蛋白质中的肽片段。 -Lys(Ac)侧链乙酰化的赖氨酸 -DAlaD型丙氨酸 -DAlaD型丙氨酸 -OHC端羧基:C-terminal carboxyl group。在肽或多肽链中含有游离羧基的氨基酸一端。在表示氨基酸序列时,通常将C端放在肽链的右边。 |
| 氨基酸个数: | 3 |
| 分子式: | C16H28O6N4 |
| 平均分子量: | 372.42 |
| 精确分子量: | 372.2 |
| 等电点(PI): | - |
| pH=7.0时的净电荷数: | - |
| 平均亲水性: | -0.5 |
| 疏水性值: | 1.8 |
| 外观与性状: | 白色粉末状固体 |
| 消光系数: | - |
| 来源: | 人工化学合成,仅限科学研究使用,不得用于人体。 |
| 纯度: | 95%、98% |
| 盐体系: | 可选TFA、HAc、HCl或其它 |
| 储存条件: | 负80℃至负20℃ |
| 标签: | D型氨基酸肽 三肽 |
Diacetyl-Lys-D-Ala-D-Ala (DALAA) is a substrate for penicillin-sensitive D-alanine carboxypeptidases (DD-carboxypeptidases).
Ac‑Lys (Ac)‑D‑Ala‑D‑Ala‑OH 包含 D‑残基与乙酰化赖氨酸,改变立体化学与电荷特征。该肽提供研究修饰基序识别的模型。其结构支持折叠与相互作用分析。应用包括肽工程与构效探索。
Ac-Lys(Ac)-D-Ala-D-Ala-OH includes D-residues and an acetylated lysine, altering stereochemistry and charge characteristics. The peptide provides a model for studying recognition of modified motifs. Its structure supports folding and interaction analyses. Applications include peptide engineering and structure-activity exploration.
很多蛋白在细胞中非常容易被降解,或被标记,进而被选择性地破坏。但含有部分D型氨基酸的多肽则显示了很强的抵抗蛋白酶降解能力。
| DOI | 名称 | |
|---|---|---|
| 10.1021/cc0498783 | Conformational studies of resin-bound vancomycin and the complex of vancomycin and Ac2-L-Lys-D-Ala-D-Ala | 下载 |
| 10.1002/chem.201102195 | Molecular interactions between glycopeptide vancomycin and bacterial cell wall peptide analogues | 下载 |
| 10.1016/j.chroma.2012.08.010 | Diastereoselective discrimination of lysine-alanine-alanine peptides by zwitterionic cinchona alkaloid-based chiral selectors using electrospray ionization mass spectrometry | 下载 |
| 10.1073/pnas.75.1.84 | Utilization of a depsipeptide substrate for trapping acyl-enzyme intermediates of penicillin-sensitive D-alanine carboxypeptidases | 下载 |
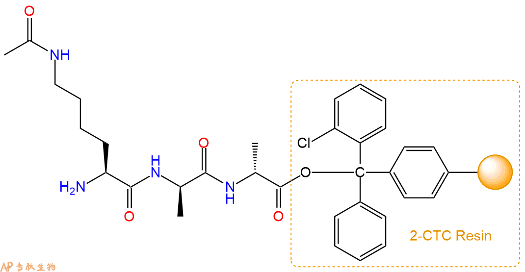
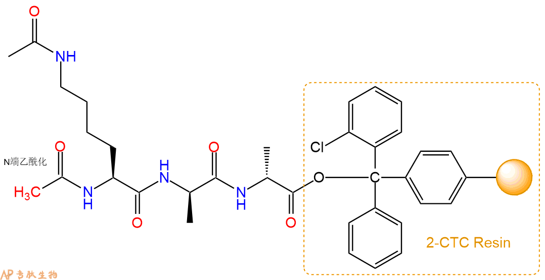
多肽Ac-Lys(Ac)-DAla-DAla-COOH的合成步骤:
1、合成CTC树脂:称取1.81g CTC Resin(如初始取代度约为0.41mmol/g)和0.89mmol Fmoc-DAla-OH于反应器中,加入适量DCM溶解氨基酸(需要注意,此时CTC树脂体积会增大好几倍,避免DCM溶液过少),再加入2.23mmol DIPEA(Mw:129.1,d:0.740g/ml),反应2-3小时后,可不抽滤溶液,直接加入1ml的HPLC级甲醇,封端半小时。依次用DMF洗涤2次,甲醇洗涤1次,DCM洗涤一次,甲醇洗涤一次,DCM洗涤一次,DMF洗涤2次(这里使用甲醇和DCM交替洗涤,是为了更好地去除其他溶质,有利于后续反应)。得到 Fmoc-DAla-CTC Resin。结构图如下:

2、脱Fmoc:加3倍树脂体积的20%Pip/DMF溶液,鼓氮气30分钟,然后2倍树脂体积的DMF 洗涤5次。得到 H2N-DAla-CTC Resin 。(此步骤脱除Fmoc基团,茚三酮检测为蓝色,Pip为哌啶)。结构图如下:

3、缩合:取2.23mmol Fmoc-DAla-OH 氨基酸,加入到上述树脂里,加适当DMF溶解氨基酸,再依次加入4.45mmol DIPEA,2.11mmol HBTU。反应30分钟后,取小样洗涤,茚三酮检测为无色。用2倍树脂体积的DMF 洗涤3次树脂。(洗涤树脂,去掉残留溶剂,为下一步反应做准备)。得到Fmoc-DAla-DAla-CTC Resin。氨基酸:DIPEA:HBTU:树脂=3:6:2.85:1(摩尔比)。结构图如下:

4、依次循环步骤二、步骤三,依次得到
H2N-DAla-DAla-CTC Resin
Fmoc-Lys(Ac)-DAla-DAla-CTC Resin
以上中间结构,均可在专肽生物多肽计算器-多肽结构计算器中,一键画出。
最后再经过步骤二得到 H2N-Lys(Ac)-DAla-DAla-CTC Resin,结构如下:

5、乙酸酐反应连接:在上述树脂中,加入适当DMF后,再加入2.23mmol乙酸酐到树脂中,再加入4.45mmol DIPEA,鼓氮气反应30分钟。用2倍树脂体积的DMF 洗涤3次树脂(洗涤树脂,去掉残留溶剂,为下一步反应做准备)。 得到Ac-Lys(Ac)-DAla-DAla-CTCResin。 结构如下:

6、切割:6倍树脂体积的切割液(或每1g树脂加8ml左右的切割液),摇床摇晃 2小时,过滤掉树脂,用冰无水乙醚沉淀滤液,并用冰无水乙醚洗涤沉淀物3次,最后将沉淀物放真空干燥釜中,常温干燥24小试,得到粗品Ac-Lys(Ac)-DAla-DAla-COOH。结构图见产品结构图。
切割液选择:1)TFA:H2O=95%:5%、TFA:H2O=97.5%:2.5%
2)TFA:H2O:TIS=95%:2.5%:2.5%
3)三氟乙酸:茴香硫醚:1,2-乙二硫醇:苯酚:水=87.5%:5%:2.5%:2.5%:2.5%
(前两种适合没有容易氧化的氨基酸,例如Trp、Cys、Met。第三种适合几乎所有的序列。)
6、纯化冻干:使用液相色谱纯化,收集目标峰液体,进行冻干,获得蓬松的粉末状固体多肽。不过这时要取小样复测下纯度 是否目标纯度。
7、最后总结:
杭州专肽生物技术有限公司(ALLPEPTIDE https://www.allpeptide.com)主营定制多肽合成业务,提供各类长肽,短肽,环肽,提供各类修饰肽,如:荧光标记修饰(CY3、CY5、CY5.5、CY7、FAM、FITC、Rhodamine B、TAMRA等),功能基团修饰肽(叠氮、炔基、DBCO、DOTA、NOTA等),同位素标记肽(N15、C13),订书肽(Stapled Peptide),脂肪酸修饰肽(Pal、Myr、Ste),磷酸化修饰肽(P-Ser、P-Thr、P-Tyr),环肽(酰胺键环肽、一对或者多对二硫键环),生物素标记肽,PEG修饰肽,甲基化修饰肽
以上所有内容,为专肽生物原创内容,请勿发布到其他网站上。





