400-998-5282
专注多肽 服务科研

这种荧光肽底物可用于监测20S免疫蛋白酶体活性。该肽被免疫蛋白酶体ß1i/LMP2亚基水解,但不能被组成型20S蛋白酶体有效切割。
编号:157107
CAS号:1431362-79-6
单字母:Ac-PAL-AMC
| 编号: | 157107 |
| 中文名称: | 20S免疫蛋白酶底物肽:Ac-PAL-AMC |
| 英文名: | Ac-PAL-AMC |
| 英文同义词: | Acetyl-Pro-Ala-Leu-7-amino-4-Methylcoumarin |
| CAS号: | 1431362-79-6 |
| 单字母: | Ac-PAL-AMC |
| 三字母: | Ac N端乙酰化封端,一种常见的修饰方式,常用于模拟蛋白质中的肽片段。 -ProL-脯氨酸:proline。系统命名为吡咯烷-(2S)-羧酸。为亚氨基酸。是编码氨基酸。在肽链中有特殊作用,如易形成顺式的肽键等。符号:P,Pro。 -Ala丙氨酸:alanine。L-丙氨酸的系统命名为(2S)-氨基丙酸,是编码氨基酸,也叫L-α-丙氨酸。符号:A,Ala。D-丙氨酸存在于多种细菌细胞壁的糖肽中。β-丙氨酸是维生素泛酸和辅酶A的组分。 -LeuL-亮氨酸:leucine。系统命名为(2S)-氨基-4-甲基戊酸。是编码氨基酸。是哺乳动物的必需氨基酸。符号:L,Leu。 -AMC7-氨基-4-甲基香豆素(AMC或Amc)是一种荧光染料,其激发波长为350纳米,发射波长为450纳米。 |
| 氨基酸个数: | 3 |
| 分子式: | C26H34O6N4 |
| 平均分子量: | 498.57 |
| 精确分子量: | 498.25 |
| 等电点(PI): | - |
| pH=7.0时的净电荷数: | - |
| 平均亲水性: | -1.15 |
| 疏水性值: | 1.33 |
| 外观与性状: | 白色粉末状固体 |
| 消光系数: | - |
| 来源: | 人工化学合成,仅限科学研究使用,不得用于人体。 |
| 纯度: | 95%、98% |
| 盐体系: | 可选TFA、HAc、HCl |
| 储存条件: | 负80℃至负20℃ |
| 标签: | 酶底物肽(Substrate Peptide) AMC修饰肽 三肽 |
| 参考文献(References): | Xie, Y. J. Mol. Cell Biol. 2: 308 (2010) Cascio, P. et al. EMBO J. 20: 2357 (2001) Lee, W. & Kim, K.B. Curr. Top. Med. Chem. 11: 2923 (2011) |
这种荧光肽底物可用于监测20S免疫蛋白酶体活性。该肽被免疫蛋白酶体ß1i/LMP2亚基水解,但不能被组成型20S蛋白酶体有效切割。
This fluorogenic peptide substrate can be used to monitor 20S Immunoproteasome activity. The peptide is hydrolyzed by the Immunoproteasome ß1i/LMP2 subunit, but not effectively cleaved by constitutive 20S Proteasomes.
Caspase酶对应的底物,Caspases(半胱氨酸天冬氨酸蛋白酶,半胱氨酸依赖性天冬氨酸定向蛋白酶)是一类蛋白酶家族,其功能与凋亡(程序性细胞死亡),坏死和发烧(炎症)的过程密切相关。

什么是胱天蛋白酶?
胱天蛋白酶(Caspases)是含半胱氨酸的天冬氨酸蛋白水解酶,它们是为细胞凋亡的主要介质。多种受体,例如TNF-α 受体,FasL受体,TLR和死亡受体,以及Bcl-2和凋亡抑制剂(IAP)蛋白家族参与并调节该caspase依赖性凋亡途径。一旦Caspase受到上游信号(外部或内在)刺激被激活,即会参与执行下游蛋白底物的水解作用,并触发一系列事件,导致细胞分解,死亡,吞噬作用和细胞碎片的清除。
人Caspases酶
人的Caspases家族基于序列相似性和生物学功能等共性主要可分为三大类:第一类由具有长胱天蛋白酶募集结构域的“炎症”胱天蛋白酶组成,他们对P4位上的较大的芳香族或疏水性残基具有亲和力。第二类由具有短的前体结构域的“细胞凋亡效应”胱天蛋白酶组成,而第三类由具有长的前提结构域的Pap位置具有亮氨酸或缬氨酸底物亲和力的“凋亡引发剂”胱天蛋白酶组成(表1)。
表1. 人胱天蛋白酶的功能分类:
| 细胞死亡途径 | 半胱天冬酶类型 | 酵素 | 物种 |
| 细胞凋亡 | 启动器 | Caspases 2 | 人与鼠 |
| 细胞凋亡 | 启动器 | Caspases 8 | 人与鼠 |
| 细胞凋亡 | 启动器 | Caspases 9 | 人与鼠 |
| 细胞凋亡 | 启动器 | Caspases 10 | 人的 |
| 细胞凋亡 | 效应器 | Caspases 3 | 人与鼠 |
| 细胞凋亡 | 效应器 | Caspases 6 | 人与鼠 |
| 细胞凋亡 | 效应器 | Caspases 6 | 人与鼠 |
| 细胞焦亡 | 炎性的 | Caspases 1 | 人与鼠 |
| 细胞焦亡 | 炎性的 | Caspases 4 | 人的 |
| 细胞焦亡 | 炎性的 | Caspases 5 | 人的 |
启动器Caspase和效应器Caspase酶
根据其在凋亡胱天蛋白酶途径中的作用,胱天蛋白酶可分为两类:启动器和效应器Caspase酶。启动器和效应器Caspas酶都具有由小亚基和大亚基组成的催化位点,Caspase酶的识别位

凋亡启动器Caspase酶,例如caspase-2,-8,-9和-10可以启动caspase激活级联反应。Caspase-8对于形成死亡诱导信号复合物(DISC)是必不可少的,并且在激活后,Caspase-8激活下游效应子Caspase(例如Caspase 3)并介导线粒体中细胞色素c的释放。Caspase-8已被证明对IETD肽序列具有相对较高的底物选择性。凋亡效应胱天蛋白酶例如Caspase-3,-6和-7虽然不负责启动级联途径,但是当被激活时,它们在级联的中间和后续步骤中起着不可或缺的作用。Caspase-3(CPP32 / apopain)是关键效应器,因为它放大了来自启动器Caspase的信号,使用对Caspase-3有选择性的DEVD肽序列对活化的Caspase-3进行检测,可以检测Caspase-3的活性。
Caspase酶底物和抑制剂
Caspase底物和抑制剂由两个关键成分组成:Caspase识别序列和信号产生或蛋白酶抑制基序。不同Caspase识别序列不同,一般由三个或四个氨基酸组成(表2)。Caspase酶识别序列的N端通常有乙酰基(Ac)或碳苯甲氧基(Z)基团修饰,以增强膜的通透性。对应的Caspase识别特定的肽序列为其酶促反应切割位点,释放产生信号或抑制信号的基序。Caspase的显色和荧光底物均以相似的方式起作用,其中底物的信号或颜色强度与蛋白水解活性成正比。
表2. Caspase的底物及其序列
| 多肽 | 氨基酸序列 | 对应的Caspase的种类 |
| IETD | Ile-Glu-Thr-Asp | Caspase 8,颗粒酶B |
| DEVD | Asp-Glu-Val-Asp | Caspase 3、6、7、8或10 |
| LEHD | Leu-Glu-His-Asp | Caspase 9 |
| VAD | Val-Ala-Asp | Caspase 1、2、3、6、8、9或10 |
Caspase酶的显色底物
Caspase的显色底物是有Caspase识别序列及生色基团组成,常见的生色团有pNA(对硝基苯胺或4-硝基苯胺),可使用酶标仪或分光光度计在405 nm处进行光密度检测。
表3. Caspase的显色底物
| 底物 | Caspase | 吸收(nm) | 颜色 |
| Ac-DEVD-pNA * CAS 189950-66-1 * | 半胱天冬酶3 | 405 nm | 黄色 |
| Z-DEVD-pNA | 半胱天冬酶3 | 405 nm | 黄色 |
| Z-IETD-pNA * CAS 219138-21-3 * | 半胱天冬酶8,颗粒酶B | 405 nm | 黄色 |
Caspase的荧光底物
Caspase的荧光底物的结构包含与半胱天冬酶识别相关的荧光团,例如7-氨基-4-甲基香豆素(AMC),7-氨基-4-三氟甲基香豆素(AFC), Rhodamine 110(R110)或ProRed™620。R110的Caspase底物比基于香豆素的Caspase底物(例如AMC和AFC)更敏感,但由于两步裂解过程,其动态范围更窄。 建议将R110标记的Caspase底物用于终点法测定,而将AMC和AFC标记的 Caspase底物用于动力学测定。

图.从左到右,分别是AMC(7-氨基-4-甲基香豆素),AFC(7-氨基-4-三氟甲基香豆素),Rhodamine 110(R110)和ProRed™620的激发和发射光谱。
表4.荧光半胱天冬酶底物。
| 底物名称 | 对应的Caspase | Ex(nm) | Em(nm) | ε¹ | Φ² |
| Ac-DEVD-AFC * CAS 201608-14-2 * | 半胱天冬酶3、7 | 376 | 482 | 17000 | 0.53 |
| Ac-DEVD-AMC * CAS 169332-61-0 * | 半胱天冬酶3、7 | 341 | 441 | 19000 | N / D |
| Z-DEVD-AFC | 半胱天冬酶3、7 | 376 | 482 | 17000 | 0.53 |
| Z-DEVD-AMC * CAS 1135416-11-3 * | 半胱天冬酶3、7 | 341 | 441 | 19000 | N / D |
| Z-DEVD-ProRed™620 | 半胱天冬酶3、7 | 532 | 619 | N / D | N / D |
| (Z-DEVD)2 -R110 * CAS 223538-61-2 * | 半胱天冬酶3、7 | 500 | 522 | 80000 | N / D |
| Z-DEVD-ProRed™620 | 半胱天冬酶3、7 | 532 | 619 | N / D | N / D |
| Ac-IETD-AFC * CAS 211990-57-7 * | 半胱天冬酶8,颗粒酶B | 376 | 482 | 17000 | 0.53 |
| Z-IETD-AFC * CAS 219138-02-0 * | 半胱天冬酶8,颗粒酶B | 376 | 482 | 17000 | 0.53 |
注意:
1.ε=在其最大吸收波长处的摩尔消光系数(单位= cm -1M -1)。
2.Φ=水性缓冲液(pH 7.2)中的荧光量子产率。
Caspase抑制剂
Caspase抑制剂能与Caspase的活性位点结合并形成可逆或不可逆的连接,通常,Caspase抑制剂的结构由Caspase识别序列,诸如醛(-CHO)或氟甲基酮(-FMK)的官能团组成。具有醛官能团的胱天蛋白酶抑制剂是可逆的,而具有FMK的抑制剂是不可逆的。半胱天冬酶底物和抑制剂都具有较小的细胞毒性作用,因此,它们是研究半胱天冬酶活性的有用工具。
表5. 可逆和不可逆的Caspase酶抑制剂
| 抑制剂 | Caspase的种类 | 是否可逆 | Ex(nm) | Em(nm) |
| Ac-DEVD-CHO * CAS 169332-60-9 * | 半胱天冬酶3、7 | 可逆的 | -- | -- |
| Ac-IETD-CHO * CAS 191338-86-0 * | 半胱天冬酶8 | 可逆的 | -- | -- |
| mFluor™450-VAD-FMK | 半胱天冬酶1,2,3,6,8,9,10 | 不可逆的 | 406 | 445 |
| mFluor™510-VAD-FMK | 半胱天冬酶1,2,3,6,8,9,10 | 不可逆的 | 412 | 505 |
| FITC-C6-DEVD-FMK | 半胱天冬酶3、7 | 不可逆的 | 491 | 516 |
| FITC-C6-DEVD-FMK | 半胱天冬酶3、7 | 不可逆的 | 491 | 516 |
| FITC-C6-LEHD-FMK | 半胱天冬酶9 | 不可逆的 | 491 | 516 |
| FITC-C6-LEHD-FMK | 半胱天冬酶9 | 不可逆的 | 491 | 516 |
| FAM-VAD-FMK | 半胱天冬酶1,2,3,6,8,9,10 | 不可逆的 | 493 | 517 |
| SRB-VAD-FMK [磺胺丁胺B-VAD-FMK] | 半胱天冬酶1,2,3,6,8,9,10 | 不可逆的 | 559 | 577 |
多肽AMC标记,全称多肽7-氨基-4-甲基香豆素标记(Peptide 7-Amino-4-Methylcoumarin Labeling),是一种将荧光分子“AMC”通过特异性共价键连接到多肽特定位点的修饰技术。其核心价值在于为多肽赋予可追踪、可定量的荧光特性,使其成为兼具生物活性与检测功能的“荧光探针”,广泛应用于生物医学科研、酶学分析及药物筛选等领域。
AMC(7-氨基-4-甲基香豆素)是该标记技术的核心荧光基团,其独特的化学与光学特性决定了标记效果,核心优势包括:
光学性能稳定:激发波长约340-360 nm,发射波长约440-460 nm,荧光量子产率高,光漂白抗性强,且背景荧光低,能有效提升检测灵敏度;
反应活性适配:AMC常以“活性酯衍生物”形式(如AMC-NHS酯、AMC-COOH)存在,可与多肽分子末端(N端/C端)或侧链(如赖氨酸的ε-氨基、天冬氨酸/谷氨酸的羧基)发生酰胺化反应,形成稳定的共价键,且对多肽的空间结构破坏极小;
水溶性适配:AMC分子兼具一定的亲水性与疏水性,标记后不会显著改变多肽的溶解特性,适配后续水性体系的生物实验。
多肽AMC标记的核心是“特异性共价偶联”,需在温和条件下进行以保障多肽生物活性,典型流程如下:
多肽预处理:先通过高效液相色谱(HPLC)等技术纯化目标多肽,去除杂质;同时确认多肽的活性位点(如受体结合位点、酶切位点),避开这些位点选择标记位点(常用N端氨基或C端羧基);
AMC活性酯制备:将AMC与活化试剂(如NHS、DCC)反应,生成高活性的AMC-NHS酯(减少AMC自身聚合,提升与多肽的反应效率);
偶联反应:在缓冲体系(如PBS缓冲液,pH 7.0-8.0)中混合多肽与AMC活性酯,控制反应温度(25℃或4℃)与时间(2-4小时),让AMC活性酯的活性基团与多肽的氨基/羧基发生酰胺化反应,形成稳定的标记产物;
纯化与验证:通过HPLC分离未反应的游离AMC、活化试剂及副产物,收集高纯度的AMC标记多肽;再通过质谱(确认分子量是否符合标记后理论值)、荧光光谱(验证荧光信号强度)进行质控,确保标记成功且多肽活性未受影响。
AMC标记的核心优势的是“标记后多肽保留生物活性,荧光信号可实时定量检测”,因此主要应用于以下场景:
蛋白酶活性检测(最核心应用):将AMC标记在多肽底物的蛋白酶特异性识别序列末端,当蛋白酶切割多肽时,AMC基团被释放(游离AMC的荧光强度远高于结合态),通过检测荧光强度的变化速率,可定量分析蛋白酶的活性(如基质金属蛋白酶MMPs、胰蛋白酶、 caspases等的活性检测);
受体-配体结合分析:用AMC标记多肽配体,与细胞表面或纯化的受体孵育后,通过荧光成像可追踪配体与受体的结合过程,通过荧光强度定量结合亲和力(Kd值);
药物筛选:针对特定蛋白酶或受体的药物候选分子,以AMC标记多肽为探针,通过荧光信号的变化(如酶活性被抑制时荧光释放减少),高通量筛选药物的抑制/激活活性,评估药物 potency;
多肽体内/体外追踪:AMC标记的多肽进入细胞或生物体内后,可通过荧光显微镜、小动物活体成像系统等设备,实时观察多肽的分布、转运及代谢过程,为多肽药物的药代动力学研究提供支撑。
标记位点选择:必须避开多肽的生物活性中心(如酶切位点、受体结合位点),否则会导致多肽失去原有功能;若多肽含多个氨基/羧基,可通过控制反应摩尔比、pH值实现特异性单点标记;
反应条件控制:缓冲液pH需严格控制在7.0-8.0(过酸会抑制酰胺化反应,过碱会导致AMC活性酯水解失效);低温反应(4℃)可减少多肽降解,适合不稳定多肽的标记;
杂质去除:游离AMC会导致背景荧光偏高,影响检测准确性,因此标记后需通过HPLC彻底纯化,确保标记多肽纯度≥95%(科研级)或≥98%(药物研发级);
多肽稳定性保护:若多肽含半胱氨酸(Cys),需在反应体系中添加少量还原剂(如DTT),避免Cys侧链巯基氧化形成二硫键,影响多肽结构与标记效率;
荧光检测条件匹配:检测时需根据AMC的光学特性调整激发/发射波长,避免与实验体系中其他荧光物质(如细胞自身荧光、染料)的光谱重叠,减少干扰。
此前你关注过多肽AFC标记,两者核心差异在于荧光基团的结构与性能,具体对比如下:AMC含“甲基(-CH₃)”,AFC含“三氟甲基(-CF₃)”;AFC的背景荧光更低、光稳定性更强,但合成成本更高;AMC性价比更高,荧光信号强度足够满足多数科研需求,是更常用的基础荧光标记基团。
多肽Ac-Pro-Ala-Leu-AMC的合成步骤:
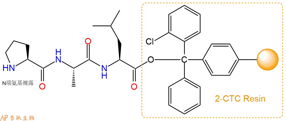
1、合成CTC树脂:称取0.47g CTC Resin(如初始取代度约为0.95mmol/g)和0.54mmol Fmoc-Leu-OH于反应器中,加入适量DCM溶解氨基酸(需要注意,此时CTC树脂体积会增大好几倍,避免DCM溶液过少),再加入1.34mmol DIPEA(Mw:129.1,d:0.740g/ml),反应2-3小时后,可不抽滤溶液,直接加入1ml的HPLC级甲醇,封端半小时。依次用DMF洗涤2次,甲醇洗涤1次,DCM洗涤一次,甲醇洗涤一次,DCM洗涤一次,DMF洗涤2次(这里使用甲醇和DCM交替洗涤,是为了更好地去除其他溶质,有利于后续反应)。得到 Fmoc-Leu-CTC Resin。结构图如下:

2、脱Fmoc:加3倍树脂体积的20%Pip/DMF溶液,鼓氮气30分钟,然后2倍树脂体积的DMF 洗涤5次。得到 H2N-Leu-CTC Resin 。(此步骤脱除Fmoc基团,茚三酮检测为蓝色,Pip为哌啶)。结构图如下:

3、缩合:取1.34mmol Fmoc-Ala-OH 氨基酸,加入到上述树脂里,加适当DMF溶解氨基酸,再依次加入2.68mmol DIPEA,1.27mmol HBTU。反应30分钟后,取小样洗涤,茚三酮检测为无色。用2倍树脂体积的DMF 洗涤3次树脂。(洗涤树脂,去掉残留溶剂,为下一步反应做准备)。得到Fmoc-Ala-Leu-CTC Resin。氨基酸:DIPEA:HBTU:树脂=3:6:2.85:1(摩尔比)。结构图如下:

4、依次循环步骤二、步骤三,依次得到
H2N-Ala-Leu-CTC Resin
Fmoc-Pro-Ala-Leu-CTC Resin
以上中间结构,均可在专肽生物多肽计算器-多肽结构计算器中,一键画出。
最后再经过步骤二得到 H2N-Pro-Ala-Leu-CTC Resin,结构如下:

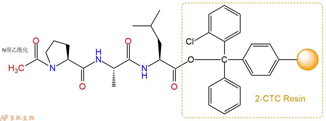
5、乙酸酐反应连接:在上述树脂中,加入适当DMF后,再加入1.34mmol 乙酸酐到树脂中,再加入2.68mmol DIPEA、1.27mmol HBTU,鼓氮气反应30分钟。用2倍树脂体积的DMF 洗涤3次树脂(洗涤树脂,去掉残留溶剂,为下一步反应做准备)。 得到Ac-Pro-Ala-Leu-CTC Resin。 结构如下:

6、全保护切割:配置0.5%TFA/DCM溶液,溶液体积约为树脂体积的3倍。再次用DCM洗涤树脂2遍(去除残留DMF),后将配置好的溶液倒入到反应器中,反应30分钟。抽滤树脂,收集滤液(此时多肽已经从树脂上分离,存在于滤液中)。多肽序列为 Ac-Pro-Ala-Leu-CTC Resin。 在滤液中添加DIEPA,调PH至7-8。用饱和NaHCO3洗涤滤液,分离出DCM层溶液。可适当旋蒸DCM层溶液,减少有机溶剂。再次加入1或2倍体积的乙酸乙酯,用稀HCl溶液调PH至微酸性,将多肽从DCM层萃取到乙酸乙酯层。用饱和NaCl洗涤2次乙酸乙酯层。用无水硫酸镁吸收乙酸乙酯层的水分。通过减压旋蒸,直接将乙酸乙酯完全旋蒸掉,得到晶体状固体多肽,用于下一步C端反应。或通过减压旋蒸保留适量乙酸乙酯的溶液体积,加入冰乙醚析出 多肽,然后对多肽进行烘干操作即可用于下一步C端反应。Ac-Pro-Ala-Leu-COOH的结构图如下。

7、7-氨基-4-甲基香豆素反应连接:在上述树脂中,加入适当DMF后,再加入1.34mmol 7-氨基-4-甲基香豆素到树脂中,再加入2.68mmol DIPEA、1.27mmol HBTU,鼓氮气反应30分钟。用2倍树脂体积的DMF 洗涤3次树脂(洗涤树脂,去掉残留溶剂,为下一步反应做准备)。 得到 Ac-Pro-Ala-Leu-AMC。 结构如下:

8、切割:6倍树脂体积的切割液(或每1g树脂加8ml左右的切割液),摇床摇晃 2小时,过滤掉树脂,用冰无水乙醚沉淀滤液,并用冰无水乙醚洗涤沉淀物3次,最后将沉淀物放真空干燥釜中,常温干燥24小试,得到粗品Ac-Pro-Ala-Leu-AMC。结构图见产品结构图。
切割液选择:1)TFA:H2O=95%:5%
2)TFA:H2O:TIS=95%:2.5%:2.5%
3)三氟乙酸:茴香硫醚:1,2-乙二硫醇:苯酚:水=87.5%:5%:2.5%:2.5%:2.5%
(前两种适合没有容易氧化的氨基酸,例如Trp、Cys、Met。第三种适合几乎所有的序列。)
9、纯化冻干:使用液相色谱纯化,收集目标峰液体,进行冻干,获得蓬松的粉末状固体多肽。不过这时要取小样复测下纯度 是否目标纯度。
10、最后总结:
杭州专肽生物技术有限公司(ALLPEPTIDE https://www.allpeptide.com)主营定制多肽合成业务,提供各类长肽,短肽,环肽,提供各类修饰肽,如:荧光标记修饰(CY3、CY5、CY5.5、CY7、FAM、FITC、Rhodamine B、TAMRA等),功能基团修饰肽(叠氮、炔基、DBCO、DOTA、NOTA等),同位素标记肽(N15、C13),订书肽(Stapled Peptide),脂肪酸修饰肽(Pal、Myr、Ste),磷酸化修饰肽(P-Ser、P-Thr、P-Tyr),环肽(酰胺键环肽、一对或者多对二硫键环),生物素标记肽,PEG修饰肽,甲基化修饰肽
以上所有内容,为专肽生物原创内容,请勿发布到其他网站上。





