400-998-5282
专注多肽 服务科研

肽基甘氨酸α-酰胺化单加氧酶(PAM)的底物。
编号:122035
CAS号:113527-49-4
单字母:Dansyl-YVG-OH
| 编号: | 122035 |
| 中文名称: | 肽基-甘氨酸单加氧酶底物:Dansyl-Tyr-Val-Gly-OH |
| 英文名: | Peptidyl-Glycine Monooxygenase Substrates:Dansyl-T |
| CAS号: | 113527-49-4 |
| 单字母: | Dansyl-YVG-OH |
| 三字母: | Dansyl N端Dansyl标记,5-(二甲氨基)萘-1-磺酰基(丹磺酰)是一种荧光染料,其激发波长为342纳米,发射波长为562纳米。 -TyrL-酪氨酸:tyrosine。系统命名为(2S)-氨基-3-(4-羟基苯基)丙酸。是编码氨基酸。符号:Y,Tyr。 -ValL-缬氨酸:valine。系统命名为(2S)-氨基-3-甲基丁酸。是编码氨基酸。是哺乳动物的必需氨基酸。符号:V,Val。在某些放线菌素如缬霉素中存在 D-缬氨酸。 -Gly甘氨酸:glycine。系统命名为 2-氨基乙酸。是编码氨基酸中没有旋光性的最简单的氨基酸,因具有甜味而得名。符号:G,Gly。 -OHC端羧基:C-terminal carboxyl group。在肽或多肽链中含有游离羧基的氨基酸一端。在表示氨基酸序列时,通常将C端放在肽链的右边。 |
| 氨基酸个数: | 3 |
| 分子式: | C28H34N3O7S1 |
| 平均分子量: | 556.65 |
| 精确分子量: | 556.21 |
| 等电点(PI): | - |
| pH=7.0时的净电荷数: | 1 |
| 平均亲水性: | -2.45 |
| 疏水性值: | 0.97 |
| 消光系数: | 1490 |
| 来源: | 人工化学合成,仅限科学研究使用,不得用于人体。 |
| 储存条件: | 负80℃至负20℃ |
| 标签: | Dansyl标记肽 三肽 |
Substrate for peptidylglycine α-amidating monooxygenase (PAM).
Dansyl标记说明
5-(Dimethylamino) naphthalene-1-sulfonyl (Dansyl) is fluorophor with an excitation at 342 nm ▉ and emission of 562 nm ▉.
| DOI | 名称 | |
|---|---|---|
| 10.1016/0003-2697(88)90318-1 | A fluorometric assay for peptidyl alpha-amidation activity using high-performance liquid chromatography | 下载 |
多肽Dansyl-Tyr-Val-Gly-COOH的合成步骤:
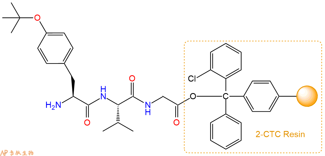
1、合成CTC树脂:称取2.58g CTC Resin(如初始取代度约为0.62mmol/g)和1.92mmol Fmoc-Gly-OH于反应器中,加入适量DCM溶解氨基酸(需要注意,此时CTC树脂体积会增大好几倍,避免DCM溶液过少),再加入4.8mmol DIPEA(Mw:129.1,d:0.740g/ml),反应2-3小时后,可不抽滤溶液,直接加入1ml的HPLC级甲醇,封端半小时。依次用DMF洗涤2次,甲醇洗涤1次,DCM洗涤一次,甲醇洗涤一次,DCM洗涤一次,DMF洗涤2次(这里使用甲醇和DCM交替洗涤,是为了更好地去除其他溶质,有利于后续反应)。得到 Fmoc-Gly-CTC Resin。结构图如下:

2、脱Fmoc:加3倍树脂体积的20%Pip/DMF溶液,鼓氮气30分钟,然后2倍树脂体积的DMF 洗涤5次。得到 H2N-Gly-CTC Resin 。(此步骤脱除Fmoc基团,茚三酮检测为蓝色,Pip为哌啶)。结构图如下:

3、缩合:取4.8mmol Fmoc-Val-OH 氨基酸,加入到上述树脂里,加适当DMF溶解氨基酸,再依次加入9.6mmol DIPEA,4.56mmol HBTU。反应30分钟后,取小样洗涤,茚三酮检测为无色。用2倍树脂体积的DMF 洗涤3次树脂。(洗涤树脂,去掉残留溶剂,为下一步反应做准备)。得到Fmoc-Val-Gly-CTC Resin。氨基酸:DIPEA:HBTU:树脂=3:6:2.85:1(摩尔比)。结构图如下:

4、依次循环步骤二、步骤三,依次得到
H2N-Val-Gly-CTC Resin
Fmoc-Tyr(tBu)-Val-Gly-CTC Resin
以上中间结构,均可在专肽生物多肽计算器-多肽结构计算器中,一键画出。
最后再经过步骤二得到 H2N-Tyr(tBu)-Val-Gly-CTC Resin,结构如下:

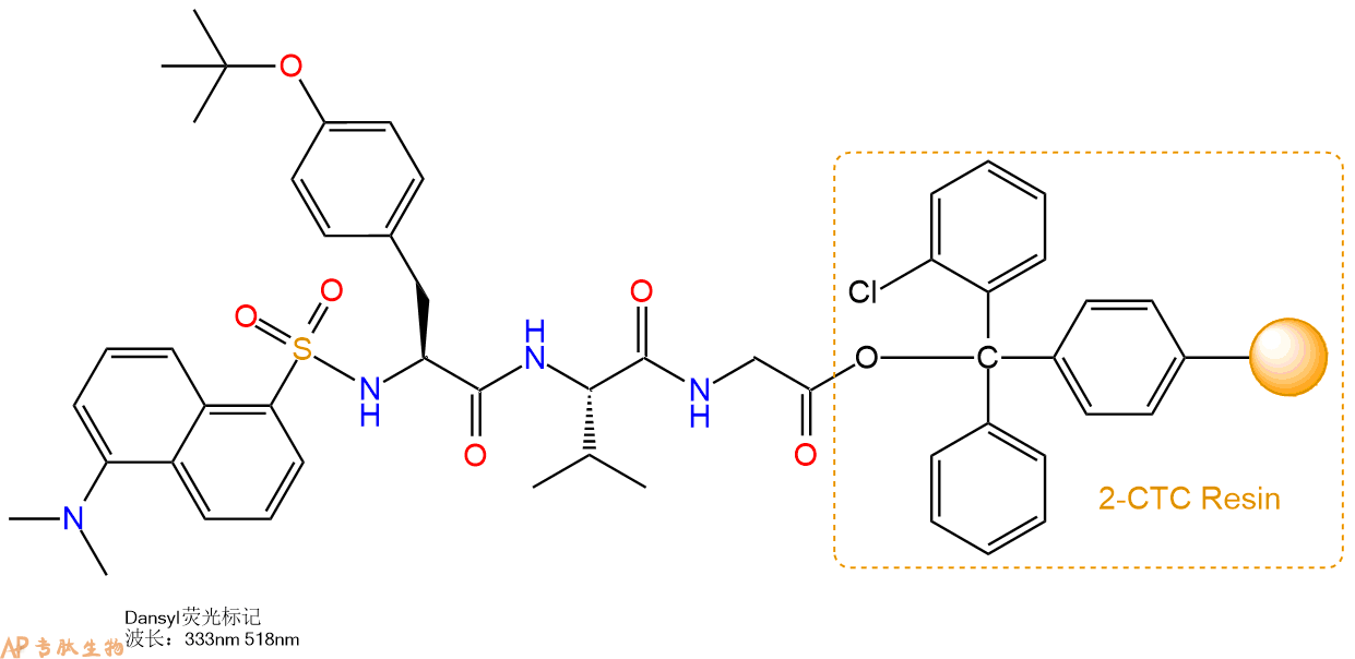
5、丹酰酸 Dansyl反应连接:在上述树脂中,加入适当DMF后,再加入4.8mmol 丹酰酸 Dansyl到树脂中,再加入9.6mmol DIPEA、4.56mmol HBTU,鼓氮气反应30分钟。用2倍树脂体积的DMF 洗涤3次树脂(洗涤树脂,去掉残留溶剂,为下一步反应做准备)。 得到Dansyl-Tyr(tBu)-Val-Gly-CTCResin。 结构如下:

6、切割:6倍树脂体积的切割液(或每1g树脂加8ml左右的切割液),摇床摇晃 2小时,过滤掉树脂,用冰无水乙醚沉淀滤液,并用冰无水乙醚洗涤沉淀物3次,最后将沉淀物放真空干燥釜中,常温干燥24小试,得到粗品Dansyl-Tyr-Val-Gly-COOH。结构图见产品结构图。
切割液选择:1)TFA:H2O=95%:5%
2)TFA:H2O:TIS=95%:2.5%:2.5%
3)三氟乙酸:茴香硫醚:1,2-乙二硫醇:苯酚:水=87.5%:5%:2.5%:2.5%:2.5%
(前两种适合没有容易氧化的氨基酸,例如Trp、Cys、Met。第三种适合几乎所有的序列。)
6、纯化冻干:使用液相色谱纯化,收集目标峰液体,进行冻干,获得蓬松的粉末状固体多肽。不过这时要取小样复测下纯度 是否目标纯度。
7、最后总结:
杭州专肽生物技术有限公司(ALLPEPTIDE https://www.allpeptide.com)主营定制多肽合成业务,提供各类长肽,短肽,环肽,提供各类修饰肽,如:荧光标记修饰(CY3、CY5、CY5.5、CY7、FAM、FITC、Rhodamine B、TAMRA等),功能基团修饰肽(叠氮、炔基、DBCO、DOTA、NOTA等),同位素标记肽(N15、C13),订书肽(Stapled Peptide),脂肪酸修饰肽(Pal、Myr、Ste),磷酸化修饰肽(P-Ser、P-Thr、P-Tyr),环肽(酰胺键环肽、一对或者多对二硫键环),生物素标记肽,PEG修饰肽,甲基化修饰肽
以上所有内容,为专肽生物原创内容,请勿发布到其他网站上。





