400-998-5282
专注多肽 服务科研

| 编号: | 200197 |
| 中文名称: | 六肽Leu-Ser-Phe(4NO2)-Nle-Ala-Leu-甲酯化 |
| CAS号: | 99764-63-3 |
| 单字母: | H2N-LS-F(4NO2)-Nle-AL-OMe |
| 三字母: | H2N N端氨基:N-terminal amino group。在肽或多肽链中含有游离a-氨基的氨基酸一端。在表示氨基酸序列时,通常将N端放在肽链的左边。 -LeuL-亮氨酸:leucine。系统命名为(2S)-氨基-4-甲基戊酸。是编码氨基酸。是哺乳动物的必需氨基酸。符号:L,Leu。 -SerL-丝氨酸:serine。系统命名为(2S)-氨基-3-羟基丙酸。是编码氨基酸。因可从蚕丝中获得而得名。符号:S,Ser。在丝原蛋白及某些抗菌素中含有 D-丝氨酸。 -Phe(4NO2)对硝基苯丙氨酸、para-nitro-phenylalanine -Nle正亮氨酸 -Ala丙氨酸:alanine。L-丙氨酸的系统命名为(2S)-氨基丙酸,是编码氨基酸,也叫L-α-丙氨酸。符号:A,Ala。D-丙氨酸存在于多种细菌细胞壁的糖肽中。β-丙氨酸是维生素泛酸和辅酶A的组分。 -LeuL-亮氨酸:leucine。系统命名为(2S)-氨基-4-甲基戊酸。是编码氨基酸。是哺乳动物的必需氨基酸。符号:L,Leu。 -OMeC端甲酯化修饰,甲酯是最简单的酯类,在溶液合成中作为重要的半永久性C端保护基团。它们可以转化为肽肼,而肽肼是反应性肽叠氮化物的先驱体。叠氮偶联仍是肽溶液合成中片段偶联最常用的方法。 |
| 氨基酸个数: | 6 |
| 分子式: | C34H55N7O10 |
| 平均分子量: | 721.84 |
| 精确分子量: | 721.4 |
| 等电点(PI): | - |
| pH=7.0时的净电荷数: | 0.97 |
| 平均亲水性: | -1.35 |
| 疏水性值: | 2.53 |
| 消光系数: | - |
| 来源: | 人工化学合成,仅限科学研究使用,不得用于人体。 |
| 储存条件: | 负80℃至负20℃ |
| 标签: | 氨基酸衍生物肽 侧链保护基肽 |
| DOI | 名称 | |
|---|---|---|
| 10.3168/jds.S0022-0302(03)73696-0 | High pressure effects on proteolytic and glycolytic enzymes involved in cheese manufacturing | 下载 |
| 10.1016/0003-2697(86)90087-4 | Quantification of chymosin action on nonlabeled kappa-casein-related peptide substrates by ultraviolet spectrophotometry: description of kinetics by the analysis of progress curves | 下载 |
| 10.1021/bi00317a024 | Cryoenzymology of penicillopepsin; with an appendix: mechanism of action of aspartyl proteinases | 下载 |
| 10.1021/bi00299a008 | Effect of pH on the activities of penicillopepsin and Rhizopus pepsin and a proposal for the productive substrate binding mode in penicillopepsin | 下载 |
| 10.1016/0167-4838(84)90277-2 | Hydrolysis of the synthetic chromophoric hexapeptide Leu-Ser-Phe(NO2)-Nle-Ala-Leu-OMe catalyzed by bovine pepsin A. Dependence on pH and effect of enzyme phosphorylation level | 下载 |
| 10.1016/0005-2744(80)90124-2 | Kinetic studies on the action of Mucor pusillus, Mucor miehei acid proteases and chymosins A and B on a synthetic chromophoric hexapeptide | 下载 |
| 10.1111/j.1432-1033.1982.tb05844.x | Purification and characterization of bovine gastricsin | 下载 |
| 10.1093/protein/10.9.991 | Mutagenesis, biochemical characterization and X-ray structural analysis of point mutants of bovine chymosin | 下载 |
| 10.1074/jbc.273.38.24305 | Transpeptidation by porcine pepsin catalyzed by a noncovalent intermediate unique to its iso-mechanism | 下载 |
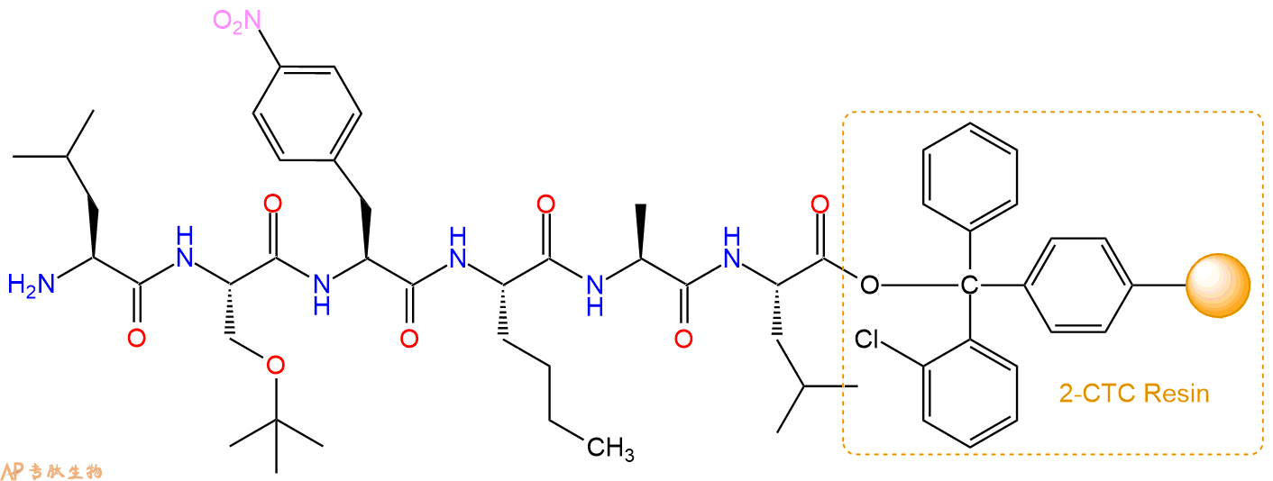
多肽H2N-Leu-Ser-Phe(4NO2)-Nle-Ala-Leu-OMe的合成步骤:
1、合成CTC树脂:称取0.35g CTC Resin(如初始取代度约为0.99mmol/g)和0.42mmol Fmoc-Leu-OH于反应器中,加入适量DCM溶解氨基酸(需要注意,此时CTC树脂体积会增大好几倍,避免DCM溶液过少),再加入1.04mmol DIPEA(Mw:129.1,d:0.740g/ml),反应2-3小时后,可不抽滤溶液,直接加入1ml的HPLC级甲醇,封端半小时。依次用DMF洗涤2次,甲醇洗涤1次,DCM洗涤一次,甲醇洗涤一次,DCM洗涤一次,DMF洗涤2次(这里使用甲醇和DCM交替洗涤,是为了更好地去除其他溶质,有利于后续反应)。得到 Fmoc-Leu-CTC Resin。结构图如下:

2、脱Fmoc:加3倍树脂体积的20%Pip/DMF溶液,鼓氮气30分钟,然后2倍树脂体积的DMF 洗涤5次。得到 H2N-Leu-CTC Resin 。(此步骤脱除Fmoc基团,茚三酮检测为蓝色,Pip为哌啶)。结构图如下:

3、缩合:取1.04mmol Fmoc-Ala-OH 氨基酸,加入到上述树脂里,加适当DMF溶解氨基酸,再依次加入2.08mmol DIPEA,0.99mmol HBTU。反应30分钟后,取小样洗涤,茚三酮检测为无色。用2倍树脂体积的DMF 洗涤3次树脂。(洗涤树脂,去掉残留溶剂,为下一步反应做准备)。得到Fmoc-Ala-Leu-CTC Resin。氨基酸:DIPEA:HBTU:树脂=3:6:2.85:1(摩尔比)。结构图如下:

4、依次循环步骤二、步骤三,依次得到
H2N-Ala-Leu-CTC Resin
Fmoc-Nle-Ala-Leu-CTC Resin
H2N-Nle-Ala-Leu-CTC Resin
Fmoc-Phe(4NO2)-Nle-Ala-Leu-CTC Resin
H2N-Phe(4NO2)-Nle-Ala-Leu-CTC Resin
Fmoc-Ser(tBu)-Phe(4NO2)-Nle-Ala-Leu-CTC Resin
H2N-Ser(tBu)-Phe(4NO2)-Nle-Ala-Leu-CTC Resin
Fmoc-Leu-Ser(tBu)-Phe(4NO2)-Nle-Ala-Leu-CTC Resin
以上中间结构,均可在专肽生物多肽计算器-多肽结构计算器中,一键画出。
最后再经过步骤二得到 H2N-Leu-Ser(tBu)-Phe(4NO2)-Nle-Ala-Leu-CTC Resin,结构如下:

5、N端临时Boc保护:加适当DMF到树脂中,再依次加入4.16mmol DIPEA,2.08mmol Boc酸酐溶液,鼓氮气反应30分钟。取小样茚三酮检测为无色。Boc酸酐:DIPEA:树脂=6:12:1(摩尔比)。用2倍树脂体积的DMF 洗涤3次树脂(洗涤树脂,去掉残留溶剂,为下一步反应做准备)。 得到 Boc-Leu-Ser(tBu)-Phe(4NO2)-Nle-Ala-Leu-CTC Resin。结构如下:

6、全保护切割:配置0.5%TFA/DCM溶液,溶液体积约为树脂体积的3倍。再次用DCM洗涤树脂2遍(去除残留DMF),后将配置好的溶液倒入到反应器中,反应30分钟。抽滤树脂,收集滤液(此时多肽已经从树脂上分离,存在于滤液中)。多肽序列为 Boc-Leu-Ser(tBu)-Phe(4NO2)-Nle-Ala-Leu-CTC Resin。 在滤液中添加DIEPA,调PH至7-8。用饱和NaHCO3洗涤滤液,分离出DCM层溶液。可适当旋蒸DCM层溶液,减少有机溶剂。再次加入1或2倍体积的乙酸乙酯,用稀HCl溶液调PH至微酸性,将多肽从DCM层萃取到乙酸乙酯层。用饱和NaCl洗涤2次乙酸乙酯层。用无水硫酸镁吸收乙酸乙酯层的水分。通过减压旋蒸,直接将乙酸乙酯完全旋蒸掉,得到晶体状固体多肽,用于下一步C端反应。或通过减压旋蒸保留适量乙酸乙酯的溶液体积,加入冰乙醚析出 多肽,然后对多肽进行烘干操作即可用于下一步C端反应。Boc-Leu-Ser(tBu)-Phe(4NO2)-Nle-Ala-Leu-COOH的结构图如下。

7、甲醇反应连接:在上述树脂中,加入适当DMF后,再加入1.04mmol 甲醇到树脂中,再加入2.08mmol DIPEA、0.99mmol HBTU,鼓氮气反应30分钟。用2倍树脂体积的DMF 洗涤3次树脂(洗涤树脂,去掉残留溶剂,为下一步反应做准备)。 得到 Boc-Leu-Ser(tBu)-Phe(4NO2)-Nle-Ala-Leu-OMe。 结构如下:

8、切割:6倍树脂体积的切割液(或每1g树脂加8ml左右的切割液),摇床摇晃 2小时,过滤掉树脂,用冰无水乙醚沉淀滤液,并用冰无水乙醚洗涤沉淀物3次,最后将沉淀物放真空干燥釜中,常温干燥24小试,得到粗品H2N-Leu-Ser-Phe(4NO2)-Nle-Ala-Leu-OMe。结构图见产品结构图。
切割液选择:1)TFA:H2O=95%:5%
2)TFA:H2O:TIS=95%:2.5%:2.5%
3)三氟乙酸:茴香硫醚:1,2-乙二硫醇:苯酚:水=87.5%:5%:2.5%:2.5%:2.5%
(前两种适合没有容易氧化的氨基酸,例如Trp、Cys、Met。第三种适合几乎所有的序列。)
9、纯化冻干:使用液相色谱纯化,收集目标峰液体,进行冻干,获得蓬松的粉末状固体多肽。不过这时要取小样复测下纯度 是否目标纯度。
10、最后总结:
杭州专肽生物技术有限公司(ALLPEPTIDE https://www.allpeptide.com)主营定制多肽合成业务,提供各类长肽,短肽,环肽,提供各类修饰肽,如:荧光标记修饰(CY3、CY5、CY5.5、CY7、FAM、FITC、Rhodamine B、TAMRA等),功能基团修饰肽(叠氮、炔基、DBCO、DOTA、NOTA等),同位素标记肽(N15、C13),订书肽(Stapled Peptide),脂肪酸修饰肽(Pal、Myr、Ste),磷酸化修饰肽(P-Ser、P-Thr、P-Tyr),环肽(酰胺键环肽、一对或者多对二硫键环),生物素标记肽,PEG修饰肽,甲基化修饰肽等。
以上所有内容,为专肽生物原创内容,请勿发布到其他网站上。





