400-998-5282
专注多肽 服务科研

| 编号: | 112679 |
| 中文名称: | H2N-SGS |
| 英文名: | Ser-Gly-Ser |
| 单字母: | H2N-SGS-OH |
| 三字母: | H2N N端氨基:N-terminal amino group。在肽或多肽链中含有游离a-氨基的氨基酸一端。在表示氨基酸序列时,通常将N端放在肽链的左边。 -SerL-丝氨酸:serine。系统命名为(2S)-氨基-3-羟基丙酸。是编码氨基酸。因可从蚕丝中获得而得名。符号:S,Ser。在丝原蛋白及某些抗菌素中含有 D-丝氨酸。 -Gly甘氨酸:glycine。系统命名为 2-氨基乙酸。是编码氨基酸中没有旋光性的最简单的氨基酸,因具有甜味而得名。符号:G,Gly。 -SerL-丝氨酸:serine。系统命名为(2S)-氨基-3-羟基丙酸。是编码氨基酸。因可从蚕丝中获得而得名。符号:S,Ser。在丝原蛋白及某些抗菌素中含有 D-丝氨酸。 -OHC端羧基:C-terminal carboxyl group。在肽或多肽链中含有游离羧基的氨基酸一端。在表示氨基酸序列时,通常将C端放在肽链的右边。 |
| 氨基酸个数: | 3 |
| 分子式: | C8H15N3O6 |
| 平均分子量: | 249.22 |
| 精确分子量: | 249.1 |
| 等电点(PI): | - |
| pH=7.0时的净电荷数: | 0.97 |
| 平均亲水性: | 0.3 |
| 疏水性值: | -0.67 |
| 外观与性状: | 白色粉末状固体 |
| 消光系数: | - |
| 来源: | 人工化学合成,仅限科学研究使用,不得用于人体。 |
| 纯度: | 95%、98% |
| 盐体系: | 可选TFA、HAc、HCl或其它 |
| 生成周期: | 2-3周 |
| 储存条件: | 负80℃至负20℃ |
| 标签: | 三肽 |
Peptide H-SGS-OH is a Research Peptide with significant interest within the field academic and medical research. Recent citations using H-SGS-OH include the following: Interaction of gramicidin S analogs with lipid bilayer membrane Y YAGI, S KIMURA, Y IMANISHI - Journal of Peptide and , 1990 - Wiley Online Libraryhttps://onlinelibrary.wiley.com/doi/abs/10.1111/j.1399-3011.1990.tb00079.x ganglion of the silkworm Bombyx mori: characterization of the cDNA encoding the diapause hormone precursor and identification of additional peptides. Y Sato, M Oguchi, N Menjo, K Imai - Proceedings of the , 1993 - National Acad Scienceshttps://www.pnas.org/doi/abs/10.1073/pnas.90.8.3251 Agrin is a chimeric proteoglycan with the attachment sites for heparan sulfate/chondroitin sulfate located in two multiple serine-glycine clusters U Winzen, GJ Cole, W Halfter - Journal of Biological Chemistry, 2003 - ASBMBhttps://www.jbc.org/article/S0021-9258(20)84283-5/abstract Sorting mechanism of peptide hormones and biogenesis mechanism of secretory granules by secretogranin III, a cholesterol-binding protein, in endocrine cells T Takeuchi, M Hosaka - Current diabetes reviews, 2008 - ingentaconnect.comhttps://www.ingentaconnect.com/content/ben/cdr/2008/00000004/00000001/art00005 Protein nanofibrils as storage forms of peptide drugs and hormones RS Jacob, A Anoop , SK Maji - Biological and Bio-inspired Nanomaterials , 2019 - Springerhttps://link.springer.com/chapter/10.1007/978-981-13-9791-2_8 Chromogranin A-derived peptides are involved in innate immunity R Aslam , M Atindehou, T Lavaux - Current medicinal , 2012 - ingentaconnect.comhttps://www.ingentaconnect.com/content/ben/cmc/2012/00000019/00000024/art00009 Global profiling of arginine dimethylation in regulating protein phase separation by a steric effect-based chemical-enrichment method Q Wang , Z Li , S Zhang, Y Li, Y Wang - Proceedings of the , 2022 - National Acad Scienceshttps://www.pnas.org/doi/abs/10.1073/pnas.2205255119 Cellular limited proteolysis of precursor proteins and peptides NG Seidah - The enzymes, 2001 - books.google.comhttps://books.google.com/books?hl=en&lr=&id=CAJ4myNjewsC&oi=fnd&pg=PA237&dq=(%22H-SGS-OH%22+OR+%22SGS%22+OR+%22NH2-Ser-Gly-Ser-OH%22)+AND+peptide&ots=i1OlskuTmz&sig=e3xncuW38GCLYullzgwZVEbjbog Cellular limited proteolysis of precursor proteins and peptides NG Seidah - The enzymes, 2001 - books.google.comhttps://books.google.com/books?hl=en&lr=&id=CAJ4myNjewsC&oi=fnd&pg=PA237&dq=(%22H-SGS-OH%22+OR+%22SGS%22+OR+%22NH2-Ser-Gly-Ser-OH%22)+AND+peptide&ots=i1OlskuTpF&sig=QE_75ACg7x9xa5EQk6WWC0CHiWI cloning of a cDNA encoding vitellogenesis-inhibiting hormone in the whiteleg shrimp Litopenaeus vannamei and preparation of its recombinant peptide using an E N Tsutsui, T Ohira, T Okutsu, J Shinji, SH Bae, BJ Kang - Fisheries science, 2013 - Springerhttps://link.springer.com/article/10.1007/s12562-013-0603-z Efficient Delivery of Antimicrobial Peptides in an Innovative, Slow-Release Pharmacological Formulation N Serna , H Lopez-Laguna, P Aceituno, M Rojas-Peaca±a - Pharmaceutics, 2023 - mdpi.comhttps://www.mdpi.com/1999-4923/15/11/2632 Silica-precipitating peptides from diatoms: the chemical structure of silaffin-1A from Cylindrotheca fusiformis N Kroger , R Deutzmann, M Sumper - Journal of Biological Chemistry, 2001 - ASBMBhttps://www.jbc.org/article/S0021-9258(19)30159-0/abstract Facile and selective enrichment of intact sialoglycopeptides using graphitic carbon nitride M Zhang, Y Liu, D Zhang, T Chen, Z Li - Analytical chemistry, 2017 - ACS Publicationshttps://pubs.acs.org/doi/abs/10.1021/acs.analchem.7b01556 Multiple sorting systems for secretory granules ensure the regulated secretion of peptide hormones M Sun, T Watanabe, H Bochimoto, Y Sakai, S Torii - Traffic, 2013 - Wiley Online Libraryhttps://onlinelibrary.wiley.com/doi/abs/10.1111/tra.12029 Natriuretic peptide system in the rat submaxillary gland M Jankowski , C Petrone, J Tremblay , J Gutkowska - Regulatory peptides, 1996 - Elsevierhttps://www.sciencedirect.com/science/article/pii/0167011596000043 Members of the salivary gland surface protein (SGS) family are major immunogenic components of mosquito saliva JG King, KD Vernick, JF Hillyer - Journal of Biological Chemistry, 2011 - ASBMBhttps://www.jbc.org/article/S0021-9258(20)50433-X/abstract Novel peptides from adrenomedullary chromaffin vesicles. J Sigafoos, WG Chestnut, BM Merrill, LC Taylor - Journal of , 1993 - ncbi.nlm.nih.govhttps://www.ncbi.nlm.nih.gov/pmc/articles/PMC1259906/ Sorting of a HaloTag protein that has only a signal peptide sequence into exocrine secretory granules without protein aggregation J Fujita-Yoshigaki - American Journal , 2013 - journals.physiology.orghttps://journals.physiology.org/doi/abs/10.1152/ajpgi.00093.2013 Determinants for selective transport of exogenously expressed cargo proteins into regulated and constitutive secretory pathways J Fujita-Yoshigaki, M Yokoyama - Journal of Oral , 2017 - Elsevierhttps://www.sciencedirect.com/science/article/pii/S1349007917300221 The sorting mechanism underlying the separation of salivary proteins into secretory granules in parotid glands J Fujita-Yoshigaki, M Matsuki-Fukushima - Journal of Oral , 2014 - Elsevierhttps://www.sciencedirect.com/science/article/pii/S1349007914000607 Proteomic analysis methods for characterization of proteins from the salivary gland secretions of the medicinal leech during different seasons IP Baskova, LL Zavalova, ES Kostrjukova - Biochemistry , 2007 - Springerhttps://link.springer.com/article/10.1134/S0006297907020137 Proteins and peptides of the salivary gland secretion of medicinal leeches Hirudo verbana, H. medicinalis, and H. orientalis IP Baskova, ES Kostrjukova, MA Vlasova - Biochemistry , 2008 - Springerhttps://link.springer.com/article/10.1134/S0006297908030127 Identification of the crustacean hyperglycemic hormone (CHH) and CHH-like peptides in the crayfish Procambarus clarkii and localization of functionally HJ Wu, WS Tsai, SY Huang, YJ Chen, YH Chen - Zool Stud, 2012 - researchgate.nethttps://www.researchgate.net/profile/Houda-Kawas/post/Does_anyone_have_a_protocol_of_SDS_page_electrophoresis_for_cHH_hormone_in_crab/attachment/59d63d6979197b807799a369/AS%3A419567508705281%401477044097227/download/288.pdf Expression of secretogranin III in chicken endocrine cells: its relevance to the secretory granule properties of peptide prohormone processing and bioactive amine H Gomi, S Morikawa, N Shinmura - of Histochemistry & , 2015 - journals.sagepub.comhttps://journals.sagepub.com/doi/abs/10.1369/0022155415575032 Structure and regulation of the salivary gland secretion protein gene Sgs-1 of Drosophila melanogaster GE Roth, S Wattler, H Bornschein, M Lehmann - Genetics, 1999 - academic.oup.comhttps://academic.oup.com/genetics/article-abstract/153/2/753/6048093 Sequence-Tunable Phase Behavior and Intrinsic Fluorescence in Dynamically Interacting Peptides D Sementa, D Dave , RS Fisher , T Wang - Angewandte , 2023 - Wiley Online Libraryhttps://onlinelibrary.wiley.com/doi/abs/10.1002/ange.202311479 Systematic exploration of the antigen binding activity of synthetic peptides isolated from the variable regions of immunoglobulins D Laune, F Molina, G Ferrieres, JC Mani - Journal of Biological , 1997 - ASBMBhttps://www.jbc.org/article/S0021-9258(19)89633-3/abstract Anti-fibrotic activity of an antimicrobial peptide in a drosophila model D Khalili , C Kalcher, S Baumgartner - Journal of Innate , 2021 - karger.comhttps://karger.com/jin/article/13/6/376/824256 In vitro evolution of a peptide with a hematite binding motif that may constitute a natural metal-oxide binding archetype BH Lower , RD Lins , Z Oestreicher - science & technology, 2008 - ACS Publicationshttps://pubs.acs.org/doi/abs/10.1021/es702688c Identification of avidin and streptavidin binding motifs among peptides selected from a synthetic peptide library consisting solely of D-amino acids B Gissel, MR Jensen, K Gregorius - Journal of Peptide , 1995 - Wiley Online Libraryhttps://onlinelibrary.wiley.com/doi/abs/10.1002/psc.310010402 Serine 209, Not Serine 53, Is the Major Site of Phosphorylation in Initiation Factor eIF-4E in Serum-treated Chinese Hamster Ovary Cells (âË\x86â\x80\x94) A Flynn, CG Proud - Journal of Biological Chemistry, 1995 - ASBMBhttps://www.jbc.org/article/S0021-9258(18)90229-2/abstract
多肽H2N-Ser-Gly-Ser-COOH的合成步骤:
1、合成CTC树脂:称取1.29g CTC Resin(如初始取代度约为0.36mmol/g)和0.56mmol Fmoc-Ser(tBu)-OH于反应器中,加入适量DCM溶解氨基酸(需要注意,此时CTC树脂体积会增大好几倍,避免DCM溶液过少),再加入1.39mmol DIPEA(Mw:129.1,d:0.740g/ml),反应2-3小时后,可不抽滤溶液,直接加入1ml的HPLC级甲醇,封端半小时。依次用DMF洗涤2次,甲醇洗涤1次,DCM洗涤一次,甲醇洗涤一次,DCM洗涤一次,DMF洗涤2次(这里使用甲醇和DCM交替洗涤,是为了更好地去除其他溶质,有利于后续反应)。得到 Fmoc-Ser(tBu)-CTC Resin。结构图如下:

2、脱Fmoc:加3倍树脂体积的20%Pip/DMF溶液,鼓氮气30分钟,然后2倍树脂体积的DMF 洗涤5次。得到 H2N-Ser(tBu)-CTC Resin 。(此步骤脱除Fmoc基团,茚三酮检测为蓝色,Pip为哌啶)。结构图如下:

3、缩合:取1.39mmol Fmoc-Gly-OH 氨基酸,加入到上述树脂里,加适当DMF溶解氨基酸,再依次加入2.79mmol DIPEA,1.32mmol HBTU。反应30分钟后,取小样洗涤,茚三酮检测为无色。用2倍树脂体积的DMF 洗涤3次树脂。(洗涤树脂,去掉残留溶剂,为下一步反应做准备)。得到Fmoc-Gly-Ser(tBu)-CTC Resin。氨基酸:DIPEA:HBTU:树脂=3:6:2.85:1(摩尔比)。结构图如下:

4、依次循环步骤二、步骤三,依次得到
H2N-Gly-Ser(tBu)-CTC Resin
Fmoc-Ser(tBu)-Gly-Ser(tBu)-CTC Resin
以上中间结构,均可在专肽生物多肽计算器-多肽结构计算器中,一键画出。
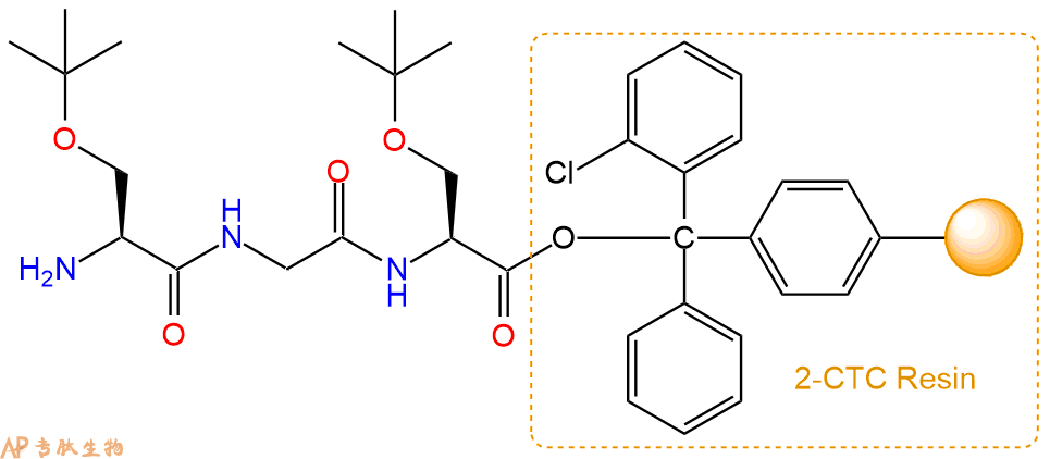
最后再经过步骤二得到 H2N-Ser(tBu)-Gly-Ser(tBu)-CTC Resin,结构如下:

5、切割:6倍树脂体积的切割液(或每1g树脂加8ml左右的切割液),摇床摇晃 2小时,过滤掉树脂,用冰无水乙醚沉淀滤液,并用冰无水乙醚洗涤沉淀物3次,最后将沉淀物放真空干燥釜中,常温干燥24小试,得到粗品H2N-Ser-Gly-Ser-COOH。结构图见产品结构图。
切割液选择:1)TFA:H2O=95%:5%、TFA:H2O=97.5%:2.5%
2)TFA:H2O:TIS=95%:2.5%:2.5%
3)三氟乙酸:茴香硫醚:1,2-乙二硫醇:苯酚:水=87.5%:5%:2.5%:2.5%:2.5%
(前两种适合没有容易氧化的氨基酸,例如Trp、Cys、Met。第三种适合几乎所有的序列。)
6、纯化冻干:使用液相色谱纯化,收集目标峰液体,进行冻干,获得蓬松的粉末状固体多肽。不过这时要取小样复测下纯度 是否目标纯度。
7、最后总结:
杭州专肽生物技术有限公司(ALLPEPTIDE https://www.allpeptide.com)主营定制多肽合成业务,提供各类长肽,短肽,环肽,提供各类修饰肽,如:荧光标记修饰(CY3、CY5、CY5.5、CY7、FAM、FITC、Rhodamine B、TAMRA等),功能基团修饰肽(叠氮、炔基、DBCO、DOTA、NOTA等),同位素标记肽(N15、C13),订书肽(Stapled Peptide),脂肪酸修饰肽(Pal、Myr、Ste),磷酸化修饰肽(P-Ser、P-Thr、P-Tyr),环肽(酰胺键环肽、一对或者多对二硫键环),生物素标记肽,PEG修饰肽,甲基化修饰肽
以上所有内容,为专肽生物原创内容,请勿发布到其他网站上。





