
编号:493186
CAS号:
三字母:Biotinyl-Ala-Lys-Asp-Glu-Gly-Lys-Pro-Leu-CONH2
描 述:
编号:493187
CAS号:
三字母:Biotinyl-Gln-Phe-Arg-Val-Pro-Glu-Leu-Pro-CONH2
描 述:
编号:493188
CAS号:
三字母:Biotinyl-Gly-Ala-Asp-Ser-Glu-Met-Glu-Glu-CONH2
描 述:
编号:493189
CAS号:
三字母:Biotinyl-Asn-Pro-Thr-Thr-Gln-Met-Asp-Val-CONH2
描 述:
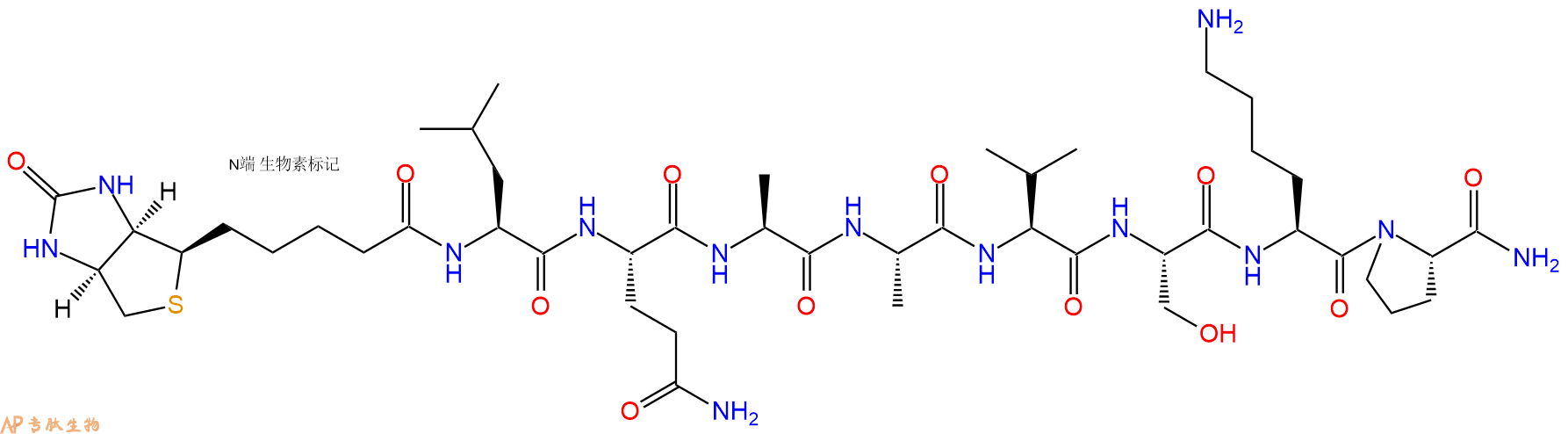
编号:493190
CAS号:
三字母:Biotinyl-Leu-Gln-Ala-Ala-Val-Ser-Lys-Pro-CONH2
描 述:
编号:423801
CAS号:
三字母:Biotinyl-Gly-Leu-Pro-Tyr-Glu-Ala-Tyr-Cys-CONH2
描 述:
编号:493191
CAS号:
三字母:Biotinyl-Gly-Leu-His-Ser-Met-Glu-Met-Pro-CONH2
描 述:
编号:493192
CAS号:
三字母:Biotinyl-Gly-Gln-Phe-Leu-Gln-Asp-Ser-Asn-CONH2
描 述:
编号:493193
CAS号:
三字母:Biotinyl-Phe-Glu-Asp-Leu-Thr-Pro-Val-Asn-CONH2
描 述:
编号:493194
CAS号:
三字母:Biotinyl-Glu-Asn-Ser-Ala-Glu-Gln-Leu-Leu-CONH2
描 述:





