
编号:491900
CAS号:
三字母:Biotinyl-Tyr-Gly-Arg-Lys-Lys-Arg-Arg-Gln-Arg-Arg-Arg-Cys-OH
描 述:
编号:475779
CAS号:
三字母:Biotinyl-Gly-Gly-Asp-Pro-Glu-Phe-Lys-Ala-Gln-Cys-Asn-Gly-OH
描 述:
编号:490623
CAS号:
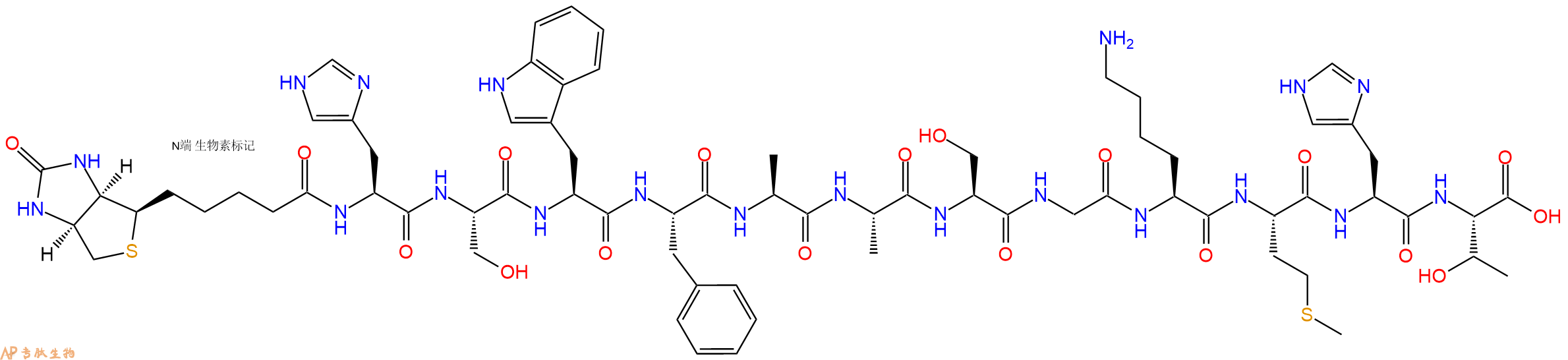
三字母:Biotinyl-His-Ser-Trp-Phe-Ala-Ala-Ser-Gly-Lys-Met-His-Thr-OH
描 述:
编号:490624
CAS号:
三字母:Biotinyl-Asp-Gly-Leu-Ile-Ala-Phe-Pro-Leu-Gly-Asp-Pro-Phe-OH
描 述:
编号:490625
CAS号:
三字母:Biotinyl-Gly-Leu-Arg-His-Ala-Phe-Gly-Ser-Trp-Leu-Ser-Ile-OH
描 述:
编号:475782
CAS号:
三字母:Biotinyl-Asn-Cys-Gln-Ala-Phe-Lys-Gly-Glu-Pro-Gly-Gly-Asp-OH
描 述:
编号:490626
CAS号:
三字母:Biotinyl-Asp-Met-Val-Pro-Trp-Tyr-Arg-Thr-Phe-Val-Leu-Lys-OH
描 述:
编号:490627
CAS号:
三字母:Biotinyl-Glu-His-Pro-Ala-Ser-Asp-Ala-Phe-Lys-Trp-Val-Ser-OH
描 述:
编号:488840
CAS号:
三字母:Biotinyl-Leu-Lys-Val-Ala-Val-Val-Arg-Thr-Pro-Pro-Lys-Ser-OH
描 述:
编号:488843
CAS号:
三字母:Biotinyl-Leu-Pro-Pro-Lys-Ser-Pro-Ser-Ser-Ala-Lys-Ser-Arg-OH
描 述:





