编号:500661
CAS号:
三字母:H2N-DPhe-DArg-DGlu-DGlu-Cys-DTrp-DHis-DAla-DThr-DSer-DAla-DPro-DPro-Cys-DMet-DGlu-DSer-DSer-DAla-Gly-DGlu-Cys-DSer-DGlu-DAsn-DAsp-DGlu-DArg-OH
描 述:
编号:580274
CAS号:
三字母:H2N-DAsp-DGlu-DVal-DAla-DLys-DIle-Cys-DTrp-DArg-DIle-DThr-DGlu-Cys-DIle-DAsn-Cys-DHis-DIle-DAsn-DAsp-DIle-Cys-DLeu-DGlu-DThr-DThr-DGlu-DArg-OH
描 述:
编号:502208
CAS号:
三字母:H2N-DVal-DAla-DArg-DIle-DAla-DAsn-DCys-DGlu-Cys-DIle-DAsn-Cys-DMet-DAla-DCys-DHis-DIle-DAsn-DGlu-Cys-DLeu-DGlu-DAla-DArg-DAsn-DIle-DAsn-Gly-OH
描 述:
编号:476112
CAS号:
三字母:H2N-Cys-DGlu-DLeu-DLeu-Cys-DPro-DGlu-DAsn-DGlu-DThr-DArg-DAla-DThr-DIle-DAsn-Gly-Cys-DPro-DGlu-DPro-DThr-DIle-DAsp-DGlu-Cys-Cys-Ala-Asp-Tyr-OH
描 述:
编号:578494
CAS号:
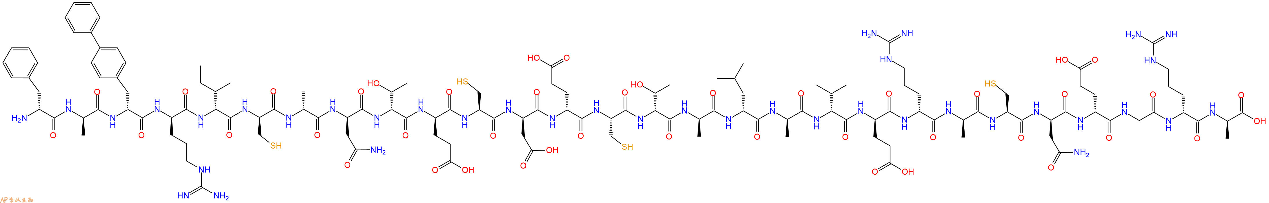
三字母:H2N-DPhe-DAla-DBip-DArg-DIle-DCys-DAla-DAsn-DThr-DGlu-Cys-DAsp-DGlu-Cys-DThr-DAla-DLeu-DAla-DVal-DGlu-DArg-DAla-Cys-DAsn-DGlu-Gly-DArg-DAla-OH
描 述:
编号:513503
CAS号:
三字母:H2N-DSer-DIle-DLeu-DVal-DGlu-DArg-Cys-DSer-DAsn-DGlu-DAla-DLys-DGlu-DArg-DSer-Cys-DAla-DAsn-DAsp-Cys-DMet-DGlu-DAsp-DIle-DCys-DAla-DArg-DGlu-OH
描 述:
编号:578012
CAS号:
三字母:H2N-DMet-DGlu-DSer-DHis-Cys-DArg-DGlu-DPro-DLeu-DAla-DCys-DGlu-DMet-DGlu-DAsn-DThr-Cys-DLeu-DAla-DMet-DPro-Cys-DSer-DHis-DAla-DAsp-DGlu-DSer-OH
描 述:
编号:441637
CAS号:
三字母:H2N-Trp-His-Asp-Trp-Tyr-Pro-Glu-Val-Trp-Tyr-Ala-Arg-Gly-Ser-Leu-Asp-Pro-Glu-Thr-Gly-Glu-Tyr-Leu-DArg-DArg-DArg-DArg-DArg-DArg-DArg-DArg-DArg-OH
描 述:
编号:513557
CAS号:
三字母:H2N-DPro-DIle-DLys-DAla-Cys-DIle-DAsn-DThr-DGlu-DLeu-DIle-Gly-DGlu-DAsn-DCys-DIle-DAla-Cys-DAla-DArg-DThr-DIle-DPhe-DIle-DCys-DIle-DAla-DLeu-OH
描 述:
编号:502807
CAS号:
三字母:H2N-DGlu-DPro-DIle-DLeu-DGlu-DPro-DSer-DTyr-Cys-DPro-DAla-DThr-DIle-DGlu-DAsn-DThr-Cys-DLeu-DGlu-DAla-DPhe-DLeu-DGlu-DThr-Cys-DAsn-DHis-DSer-OH
描 述: