编号:505752
CAS号:
三字母:H2N-DMet-DAla-DArg-DIle-DAsn-DGlu-Cys-DAsp-DIle-DGlu-DSer-DGlu-DLeu-Cys-DMet-DGlu-DCys-DHis-DAla-DAsn-DIle-DCys-Cys-DAsn-DGlu-DAla-DArg-Cys-DMet-DGlu-OH
描 述:
编号:515225
CAS号:
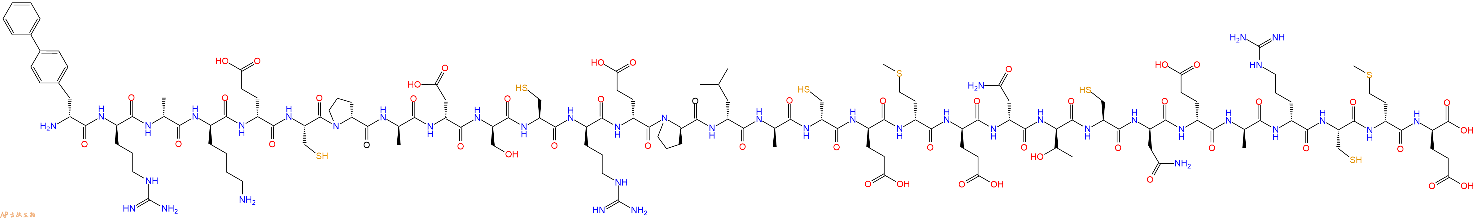
三字母:H2N-DBip-DArg-DAla-DLys-DGlu-Cys-DAsp-DIle-DSer-DCys-Cys-DAla-DAsn-DAsp-Cys-DPro-DAla-DAsp-Cys-DArg-DGlu-DPro-DLeu-DAla-DCys-DGlu-DMet-DGlu-DAsn-DThr-OH
描 述:
编号:516765
CAS号:
三字母:H2N-DArg-DGlu-Gly-DIle-DSer-DThr-DGlu-DArg-DGlu-DAsp-Cys-DPro-DAla-DArg-DThr-DAsn-DGlu-DArg-DSer-DHis-DIle-DPro-Cys-DMet-DGlu-DAla-DAsn-DIle-DAsn-Gly-OH
描 述:
编号:515488
CAS号:
三字母:H2N-DMet-DGlu-DCys-DHis-DAla-DAsn-DIle-DCys-DAla-DLeu-Cys-DGlu-DAsn-Gly-DIle-DAsn-DGlu-DGlu-DArg-DIle-DAsn-Gly-Cys-DMet-DAla-DSer-DThr-DGlu-DArg-DSer-OH
描 述:
编号:579483
CAS号:
三字母:H2N-DAla-DThr-DThr-Cys-DSer-DGlu-DThr-DThr-DLeu-DGlu-DMet-DGlu-DAsn-DThr-Cys-DCys-DLeu-DAla-DSer-DSer-Cys-DMet-DGlu-DMet-DBip-DGlu-DArg-Cys-DIle-DAsp-OH
描 述:
编号:558246
CAS号:
三字母:H2N-DBip-DArg-DAla-DLys-DGlu-Cys-DPro-DAla-DAsp-DSer-Cys-DArg-DGlu-DPro-DLeu-DAla-DCys-DGlu-DMet-DGlu-DAsn-DThr-Cys-DAsn-DGlu-DAla-DArg-Cys-DMet-DGlu-OH
描 述:
编号:562090
CAS号:
三字母:H2N-DPro-DGlu-DPro-DThr-DIle-DAsp-DGlu-Cys-DThr-DHis-DGlu-DArg-DAla-DPro-DTyr-Cys-DCys-DLeu-DIle-DAsn-DIle-DCys-Cys-DAsn-DGlu-DAla-DArg-Cys-DMet-DGlu-OH
描 述:
编号:515501
CAS号:
三字母:H2N-DPhe-DIle-DArg-DSer-DThr-Cys-DPhe-DGlu-DAsp-DGlu-DArg-DAla-DLeu-Cys-DBip-DAla-DAsn-DLys-Cys-DSer-DHis-DGlu-DArg-DIle-DAsp-DAla-DAsn-Cys-DTrp-DTyr-OH
描 述:
编号:505783
CAS号:
三字母:H2N-DPro-DArg-DIle-DVal-DAla-DThr-DGlu-Cys-DGlu-DVal-DGlu-DAsn-DThr-DSer-Cys-DBip-DArg-DGlu-DTrp-DGlu-DArg-DTyr-Cys-DAsn-DGlu-DAla-DArg-Cys-DMet-DGlu-OH
描 述:
编号:465871
CAS号:
三字母:H2N-DAla-DIle-Gly-Gly-DTyr-DIle-DPro-DGlu-DAla-DPro-DArg-DAsp-Gly-DGln-DAla-DTyr-DVal-DArg-DLys-DAsp-Gly-DGlu-DTrp-DVal-DLeu-DLeu-DSer-DThr-DPhe-DLeu-OH
描 述: