400-998-5282
专注多肽 服务科研
编号:208902
CAS号:
三字母:H2N-Arg-Gly-Asp-Glu-DVal-OH
描 述:
编号:205079
三字母:H2N-Arg-Gly-Asp-DTyr-Cys-OH
编号:199701
CAS号:62246-09-7
三字母:Cbz-Ala-DAla-Ala-Sar-Sar-OH
编号:174872
CAS号:64963-20-8
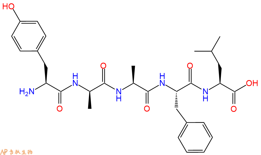
三字母:H2N-Tyr-Ala-DAla-Phe-Leu-OH
编号:140135
CAS号:64963-21-9
三字母:H2N-Tyr-Ala-DAla-Phe-Met-OH
编号:136805
CAS号:1345963-57-6
三字母:H2N-DIle-Phe-Lys-Cys-Asn-OH
编号:203208
三字母:H2N-Gly-Phe-Phe-DPro-Tyr-OH
编号:203209
三字母:H2N-DPro-Tyr-Phe-Phe-Gly-OH
编号:168352
CAS号:64963-10-6
三字母:H2N-Phe-DAla-Gly-Phe-Leu-OH
编号:156577
CAS号:64963-41-3
三字母:H2N-Tyr-DAla-Ala-Phe-Leu-OH
1号客服
2号客服
3号客服
4号客服
4009985282
17342063383
18715164942