400-998-5282
专注多肽 服务科研
编号:171403
CAS号:170589-78-3
三字母:Cbz-Leu-Leu-Phe(4Cl)-CHO
描 述:
编号:153382
CAS号:170589-76-1
三字母:Cbz-Leu-Leu-Tyr(Bzl)-CHO
编号:112049
CAS号:147686-40-6
三字母:Boc-Lys(Cbz)-His-Gly-OEt
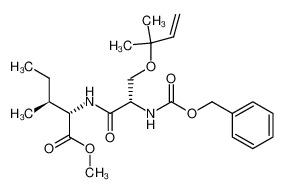
编号:139254
CAS号:1228577-06-7
三字母:Cbz-Ala-Pro-Gly-Ala-OtBu
编号:154993
CAS号:98302-27-3
三字母:Cbz-Gly-Gly-Gly-DLAla-OH
编号:138935
CAS号:63626-55-1
三字母:Cbz-Phe(4NO2)-His-Leu-OH
编号:202826
CAS号:
三字母:Cbz-Lys(Boc)-Lys(Boc)-OH
编号:125323
CAS号:26108-22-5
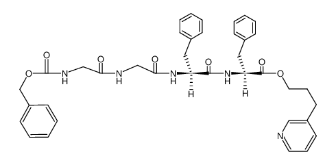
三字母:Cbz-Gly-Gly-Gly-Phe-OP4P
编号:135980
CAS号:39538-05-1
三字母:Cbz-Gly-Gly-Gly-βAla-OH
编号:168126
CAS号:26108-13-4
三字母:Cbz-Gly-Gly-Phe-Phe-OP3P
1号客服
2号客服
3号客服
4号客服
4009985282
17342063383
18715164942