
编号:500647
CAS号:
三字母:H2N-Cys-His-Ile-Asn-Ile-Ser-Glu-Cys-Bip-Glu-Ala-Sec-Thr-Ile-Lys-Leu-Phe-Sec-Leu-Cys-Thr-Orn-Trp-Asn-Cys-Trp-Ile-Thr-His-Cys-Met-Sec-Leu-Thr-Ile-Pro-Leu-Glu-Cys-Leu-Glu-Val-Glu-Leu-Ser-OH
描 述:
编号:584117
CAS号:
三字母:H2N-Aib-Glu-Gly-Thr-Phe-Thr-Ser-Asp-Tyr-Ser-Ser-Tyr-Leu-Glu-Gln-Ala-Ala-Lys-Glu-Phe-Ile-Ala-Trp-Leu-Val-Lys-Gly-Gly-Gly-Gly-Gly-Gly-Gly-Ser-Gly-Gly-Gly-Gly-Ser-Gly-Gly-Gly-Gly-Ser-Lys-OH
描 述:
编号:511427
CAS号:
三字母:H2N-Glu-Ser-Thr-Ala-Asp-Orn-Cys-Ala-Leu-Cys-Gln-Sec-Glu-Cys-Pro-Glu-Arg-Thr-Glu-Asn-Glu-Ser-Glu-Cys-Cys-Asp-Glu-Cys-Leu-Ala-Cys-Met-Ala-Arg-Cys-Ala-Cys-Ala-His-Sec-Arg-Arg-Glu-Arg-Ala-OH
描 述:
编号:510800
CAS号:
三字母:5FAM-Ahx-Ile-Val-Lys-Asn-His-Gln-Asn-Ile-Leu-Arg-Val-Ala-Gln-Tyr-Ala-Ala-Gln-Asn-Arg-Arg-Gly-Leu-Asp-Leu-Leu-Phe-Trp-Glu-Gln-Gly-Gly-Leu-Cys-Lys-Ala-Ile-Gln-Glu-Gln-Cys-Cys-Phe-Leu-Asn-OH
描 述:
编号:465048
CAS号:
三字母:His-Aib-Glu-Gly-Thr-Phe-Thr-Ser-Asp-Val-Ser-His-Aib-Gln-His-Aib-Gln-Gly-Thr-Phe-Thr-Ser-Asp-Tyr-Ser-Lys-Tyr-Leu-Asp-Glu-Arg-Arg-Ala-Arg-Asp-Phe-Val-Glu-Trp-Leu-Leu-Asn-Thr-PEG12-Lys-CONH2
描 述:
编号:465055
CAS号:
三字母:His-Aib-Glu-Gly-PEG12-Thr-Phe-Thr-Ser-Asp-Val-Ser-His-Aib-Gln-His-Aib-Gln-Gly-Thr-Phe-Thr-Ser-Asp-Tyr-Ser-Lys-Tyr-Leu-Asp-Glu-Arg-Arg-Ala-Arg-Asp-Phe-Val-Glu-Trp-Leu-Leu-Asn-Thr-Lys-CONH2
描 述:
编号:562267
CAS号:
三字母:H2N-Tyr-Gly-Leu-His-Tyr-Phe-Gly-Gly-His-Gln-Pro-Leu-Ser-Leu-Ser-Asn-Ile-Ser-Gly-Leu-Pro-Ser-Tyr-Ile-Ser-Ser-Thr-Gly-Leu-Tyr-Asn-Leu-His-Pro-Ala-Ile-Thr-Tyr-Asn-Phe-Thr-Ser-βAla-Gly-Cys-OH
描 述:
编号:553145
CAS号:
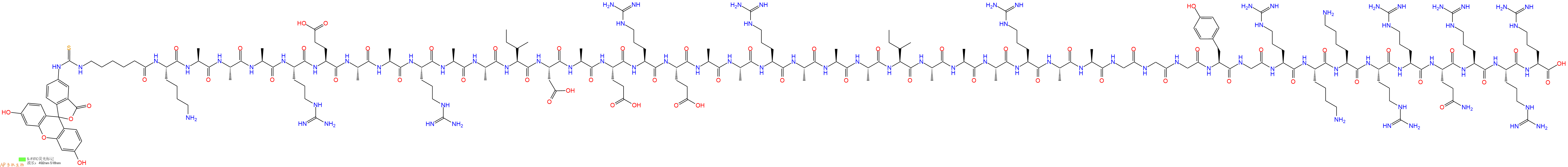
三字母:5FITC-Ahx-Lys-Ala-Ala-Ala-Arg-Glu-Ala-Ala-Arg-Ala-Ala-Ile-Asp-Ala-Glu-Arg-Glu-Ala-Ala-Arg-Ala-Ala-Ala-Ile-Ala-Ala-Ala-Arg-Ala-Ala-Gly-Gly-Gly-Tyr-Gly-Arg-Lys-Lys-Arg-Arg-Gln-Arg-Arg-Arg-OH
描 述:
编号:527811
CAS号:
三字母:5FITC-Ahx-Lys-Thr-Tyr-Val-Pro-Thr-Thr-Lys-Arg-Lys-Lys-Arg-Arg-Gln-Arg-Arg-Arg-Lys-Gly-Pro-Leu-Gly-Val-Arg-Gly-Lys-Thr-Leu-Leu-Pro-Thr-Pro-Thr-Val-Asn-Phe-Leu-Tyr-Ala-Tyr-Ala-Phe-Ala-Trp-OH
描 述:
编号:424708
CAS号:
三字母:H2N-Tyr-Pro-Asn-Ala-Ser-Pro-Leu-Leu-Gly-Ser-Ser-Trp-Gly-Gly-His-Aib-Glu-Gly-Thr-Phe-Thr-Ser-Asp-Val-Ser-Ser-Tyr-Leu-Glu-Gly-Gln-Ala-Ala-Lys-Glu-Phe-Ile-Ala-Trp-Leu-Val-Arg-Gly-Arg-Gly-CONH2
描 述:





