400-998-5282
专注多肽 服务科研
编号:157799
CAS号:1312365-82-4
三字母:Fmoc-Arg-Ala-OH
描 述:
编号:119008
CAS号:61043-58-1
三字母:Cbz-Ala-Ala-pNA
编号:401420
CAS号:
三字母:Fmoc-Trp-Trp-OH
编号:143599
CAS号:1260405-54-6
三字母:Cbz-Ala-Gly-BTA
编号:203211
三字母:H2N-DPro-Tyr-OH
编号:435036
三字母:Fmoc-Val-Asp-OH
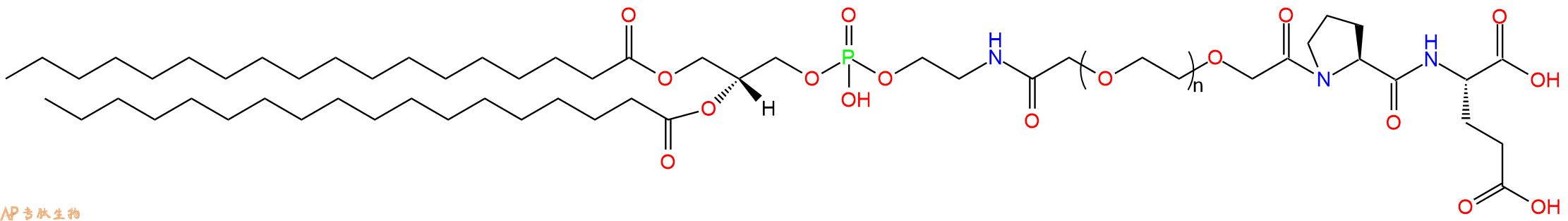
编号:467010
三字母:DSPE-Pro-Glu-OH
编号:401458
三字母:H2N-Gly-Glu-AMC
编号:133131
CAS号:16088-00-9
三字母:Cbz-DPhe-Ala-OH
编号:410678
三字母:H2N-DPro-Gly-OH
1号客服
2号客服
3号客服
4号客服
4009985282
17342063383
18715164942