400-998-5282
专注多肽 服务科研
编号:413241
CAS号:744-46-7
三字母:Benzoyl-Gly-Arg-OH
描 述:
编号:401193
CAS号:1145-32-0
三字母:Benzoyl-Gly-Gly-OH
编号:197528
CAS号:2867-20-1
三字母:H2N-DLAla-DLAla-OH
编号:463055
CAS号:159549-97-0
三字母:Boc-DLeu-DPhe-OBzl
编号:430104
CAS号:106326-29-8
三字母:Cbz-Lys(Cbz)-Ser-OH
编号:433035
CAS号: 108392-04-7
三字母:Benzoyl-Gly-DLys-OH
编号:221238
CAS号:2061897-68-3
三字母:Boc-His(Trt)-Aib-OH
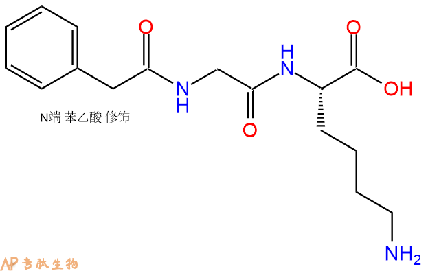
编号:430278
CAS号:113969-25-8
三字母:Phenylac-Gly-Lys-OH
编号:430284
CAS号:198475-99-9
三字母:Boc-Lys(Boc)-Pro-OH
编号:430285
CAS号:876622-63-8
三字母:Boc-(NMe)Ala-Val-OH
1号客服
2号客服
3号客服
4号客服
4009985282
17342063383
18715164942