编号:450157
CAS号:
三字母:5FITC-Gly-Glu-Gln-Ile-Ala-Gln-Leu-Ile-Ala-Gly-Tyr-Ile-Asp-Ile-Ile-Leu-Lys-Lys-Lys-Lys-Ser-Lys-OH
描 述:
编号:432527
CAS号:
三字母:5FITC-Ahx-Cys-Thr-Pro-Ser-Pro-Phe-Ser-His-Cys-Ahx-Arg-His-Ser-Gly-Ser-Tyr-Leu-Val-Thr-Ser-Val-OH
描 述:
编号:450165
CAS号:
三字母:5FITC-Thr-Pro-Trp-Trp-Arg-Leu-Trp-Thr-Lys-Trp-His-His-Lys-Arg-Arg-Asp-Leu-Pro-Arg-Lys-Pro-Glu-OH
描 述:
编号:556897
CAS号:
三字母:5FITC-Ahx-Gln-Lys-Arg-Leu-Thr-Leu-Leu-Ala-Gln-Gln-Tyr-Gly-Arg-Lys-Lys-Arg-Arg-Gln-Arg-Arg-Arg-OH
描 述:
编号:456304
CAS号:
三字母:5FITC-Lys-Cys-Phe-Gln-Trp-Gln-Arg-Asn-Met-Arg-Lys-Val-Arg-Gly-Pro-Pro-Val-Ser-Cys-Ile-Lys-Arg-OH
描 述:
编号:500850
CAS号:
三字母:5FITC-Ahx-Arg-His-Phe-Asn-Leu-Ala-Pro-Leu-Gly-Arg-Arg-Arg-Val-Gln-Ser-Gln-Trp-Ala-Ser-Thr-Arg-OH
描 述:
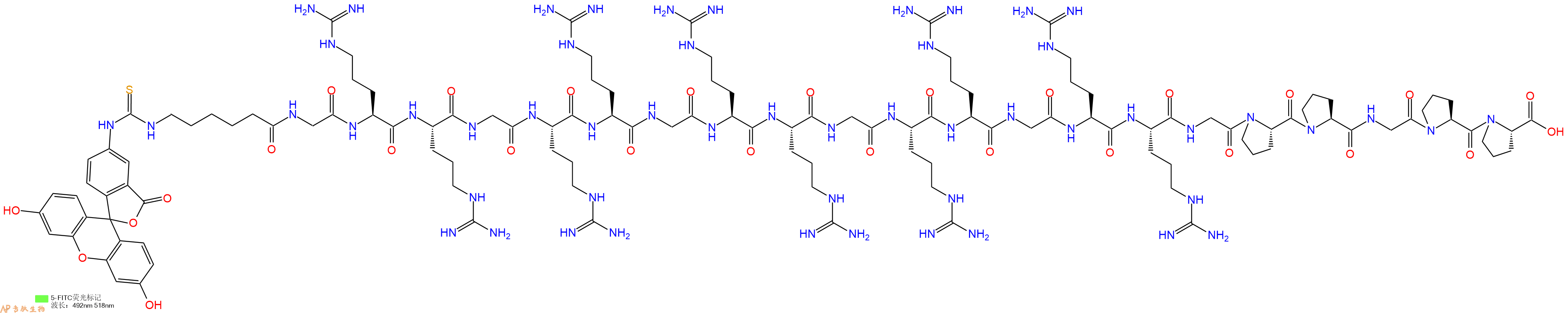
编号:506228
CAS号:
三字母:5FITC-Ahx-Gly-Arg-Arg-Gly-Arg-Arg-Gly-Arg-Arg-Gly-Arg-Arg-Gly-Arg-Arg-Gly-Pro-Pro-Gly-Pro-Pro-OH
描 述:
编号:497801
CAS号:
三字母:H2N-Cys-Ser-Gly-Lys-Gly-Pro-Arg-Gln-Ile-Thr-Ala-Ser-Leu-Leu-Met-Trp-Ile-Thr-Gln-Val-Lys(FITC)-OH
描 述:
编号:473501
CAS号:
三字母:5FITC-Ahx-Lys-Thr-Leu-Ala-Glu-Ala-Asn-Asn-Val-Leu-Ala-Ser-Arg-Ser-Cys-Arg-Arg-Gly-Ala-His-Leu-OH
描 述:
编号:435385
CAS号:
三字母:H2N-Phe-Phe-Pro-Leu-Gly-Leu-Ala-Gly-Tyr-Cys-Asp-Gly-Phe-Tyr-Ala-Cys-Tyr-Met-Asp-Val-Lys(FITC)-OH
描 述: