
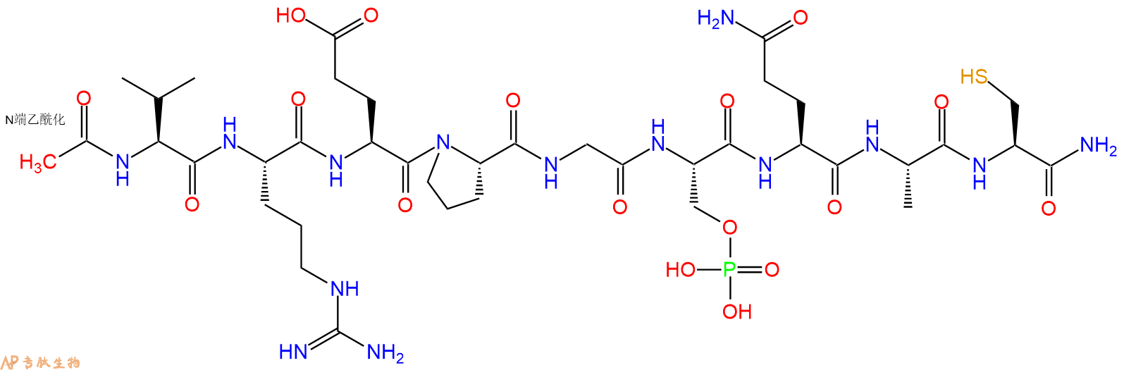
编号:541548
CAS号:
三字母:Ac-Val-Arg-Glu-Pro-Gly-Ser(PO3H2)-Gln-Ala-Cys-CONH2
描 述:
编号:489148
CAS号:
三字母:H2N-Cys-Ser-Leu-Ile-Pro-pThr-Pro-Asp-Lys-Glu-Asp-OH
描 述:
编号:489152
CAS号:
三字母:H2N-Asp-Gly-Glu-Arg-Lys-Lys-pThr-Leu-Cys-Gly-Thr-OH
描 述:
编号:541173
CAS号:
三字母:H2N-Ser(PO3H2)-Phe-Leu-Phe-Gln-Pro-Gln-Arg-Phe-CONH2
描 述:
编号:451402
CAS号:
三字母:H2N-Cys-Asn-Pro-Ile-Ser-Ser(PO3H2)-Val-Ser(PO3H2)-OH
描 述:
编号:434304
CAS号:
三字母:H2N-Glu-Arg-Ser(PO3H2)-Leu-Ser(PO3H2)-Arg-Glu-Arg-OH
描 述:
编号:436599
CAS号:
三字母:H2N-Lys-Arg-Arg-Ser(PO3H2)-Phe-Ile-Gly-Ala-Cys-CONH2
描 述:
编号:587645
CAS号:
三字母:H2N-Ala-Tyr(PO3H2)-Lys-Pro-Phe-Gln-Asp-Leu-Ile-CONH2
描 述:
编号:515981
CAS号:
三字母:Ac-Ser-Glu-Gly-Thr-Tyr(PO3H2)-Cys-Cys-Gly-Pro-Val-OH
描 述:
编号:206231
CAS号:
三字母:H2N-DThr(PO3H2)-Pro-DGlu-DPro-DThr-DIle-DAsp-DGlu-OH
描 述:





